CASH on FDR, 2Last updated: 2018-05-12
workflowr checks: (Click a bullet for more information) ✔ R Markdown file: up-to-date
Great! Since the R Markdown file has been committed to the Git repository, you know the exact version of the code that produced these results.
✔ Environment: empty
Great job! The global environment was empty. Objects defined in the global environment can affect the analysis in your R Markdown file in unknown ways. For reproduciblity it’s best to always run the code in an empty environment.
✔ Seed:
set.seed(12345)
The command set.seed(12345) was run prior to running the code in the R Markdown file. Setting a seed ensures that any results that rely on randomness, e.g. subsampling or permutations, are reproducible.
✔ Session information: recorded
Great job! Recording the operating system, R version, and package versions is critical for reproducibility.
✔ Repository version: 5b37742
wflow_publish or wflow_git_commit). workflowr only checks the R Markdown file, but you know if there are other scripts or data files that it depends on. Below is the status of the Git repository when the results were generated:
Ignored files:
Ignored: .DS_Store
Ignored: .Rhistory
Ignored: .Rproj.user/
Ignored: analysis/.DS_Store
Ignored: analysis/BH_robustness_cache/
Ignored: analysis/FDR_Null_cache/
Ignored: analysis/FDR_null_betahat_cache/
Ignored: analysis/Rmosek_cache/
Ignored: analysis/StepDown_cache/
Ignored: analysis/alternative2_cache/
Ignored: analysis/alternative_cache/
Ignored: analysis/ash_gd_cache/
Ignored: analysis/average_cor_gtex_2_cache/
Ignored: analysis/average_cor_gtex_cache/
Ignored: analysis/brca_cache/
Ignored: analysis/cash_deconv_cache/
Ignored: analysis/cash_fdr_1_cache/
Ignored: analysis/cash_fdr_2_cache/
Ignored: analysis/cash_fdr_3_cache/
Ignored: analysis/cash_fdr_4_cache/
Ignored: analysis/cash_fdr_5_cache/
Ignored: analysis/cash_fdr_6_cache/
Ignored: analysis/cash_plots_cache/
Ignored: analysis/cash_plots_fdp_cache/
Ignored: analysis/cash_sim_1_cache/
Ignored: analysis/cash_sim_2_cache/
Ignored: analysis/cash_sim_3_cache/
Ignored: analysis/cash_sim_4_cache/
Ignored: analysis/cash_sim_5_cache/
Ignored: analysis/cash_sim_6_cache/
Ignored: analysis/cash_sim_7_cache/
Ignored: analysis/correlated_z_2_cache/
Ignored: analysis/correlated_z_3_cache/
Ignored: analysis/correlated_z_cache/
Ignored: analysis/create_null_cache/
Ignored: analysis/cutoff_null_cache/
Ignored: analysis/design_matrix_2_cache/
Ignored: analysis/design_matrix_cache/
Ignored: analysis/diagnostic_ash_cache/
Ignored: analysis/diagnostic_correlated_z_2_cache/
Ignored: analysis/diagnostic_correlated_z_3_cache/
Ignored: analysis/diagnostic_correlated_z_cache/
Ignored: analysis/diagnostic_plot_2_cache/
Ignored: analysis/diagnostic_plot_cache/
Ignored: analysis/efron_leukemia_cache/
Ignored: analysis/fitting_normal_cache/
Ignored: analysis/gaussian_derivatives_2_cache/
Ignored: analysis/gaussian_derivatives_3_cache/
Ignored: analysis/gaussian_derivatives_4_cache/
Ignored: analysis/gaussian_derivatives_5_cache/
Ignored: analysis/gaussian_derivatives_cache/
Ignored: analysis/gd-ash_cache/
Ignored: analysis/gd_delta_cache/
Ignored: analysis/gd_lik_2_cache/
Ignored: analysis/gd_lik_cache/
Ignored: analysis/gd_w_cache/
Ignored: analysis/knockoff_10_cache/
Ignored: analysis/knockoff_2_cache/
Ignored: analysis/knockoff_3_cache/
Ignored: analysis/knockoff_4_cache/
Ignored: analysis/knockoff_5_cache/
Ignored: analysis/knockoff_6_cache/
Ignored: analysis/knockoff_7_cache/
Ignored: analysis/knockoff_8_cache/
Ignored: analysis/knockoff_9_cache/
Ignored: analysis/knockoff_cache/
Ignored: analysis/knockoff_var_cache/
Ignored: analysis/marginal_z_alternative_cache/
Ignored: analysis/marginal_z_cache/
Ignored: analysis/mosek_reg_2_cache/
Ignored: analysis/mosek_reg_4_cache/
Ignored: analysis/mosek_reg_5_cache/
Ignored: analysis/mosek_reg_6_cache/
Ignored: analysis/mosek_reg_cache/
Ignored: analysis/pihat0_null_cache/
Ignored: analysis/plot_diagnostic_cache/
Ignored: analysis/poster_obayes17_cache/
Ignored: analysis/real_data_simulation_2_cache/
Ignored: analysis/real_data_simulation_3_cache/
Ignored: analysis/real_data_simulation_4_cache/
Ignored: analysis/real_data_simulation_5_cache/
Ignored: analysis/real_data_simulation_cache/
Ignored: analysis/rmosek_primal_dual_2_cache/
Ignored: analysis/rmosek_primal_dual_cache/
Ignored: analysis/seqgendiff_cache/
Ignored: analysis/simulated_correlated_null_2_cache/
Ignored: analysis/simulated_correlated_null_3_cache/
Ignored: analysis/simulated_correlated_null_cache/
Ignored: analysis/simulation_real_se_2_cache/
Ignored: analysis/simulation_real_se_cache/
Ignored: analysis/smemo_2_cache/
Ignored: data/LSI/
Ignored: docs/.DS_Store
Ignored: docs/figure/.DS_Store
Ignored: output/fig/
Untracked files:
Untracked: analysis/cash_plots_fdp_files/
Untracked: docs/cash_plots_fdp_files/
Note that any generated files, e.g. HTML, png, CSS, etc., are not included in this status report because it is ok for generated content to have uncommitted changes.
| File | Version | Author | Date | Message |
|---|---|---|---|---|
| rmd | cc0ab83 | Lei Sun | 2018-05-11 | update |
| html | 0f36d99 | LSun | 2017-12-21 | Build site. |
| html | fb76f41 | LSun | 2017-11-29 | webpages |
| rmd | 8966bc7 | LSun | 2017-11-29 | CASH on FDR |
| html | 5bc0531 | LSun | 2017-11-28 | Build site. |
| rmd | 697ce5f | LSun | 2017-11-28 | wflow_publish(c(“analysis/cash_fdr_1.rmd”, “analysis/cash_fdr_2.rmd”)) |
| html | e52e79c | LSun | 2017-11-28 | building sites |
| html | d729103 | LSun | 2017-11-28 | cosmetic |
| html | 3f73a12 | LSun | 2017-11-28 | Build site. |
| rmd | 14afed1 | LSun | 2017-11-28 | wflow_publish(“analysis/cash_fdr_2.rmd”) |
| html | 92244e4 | LSun | 2017-11-28 | Build site. |
| rmd | b8bcdda | LSun | 2017-11-28 | wflow_publish(c(“analysis/index.Rmd”, “analysis/cash_fdr_1.rmd”, |
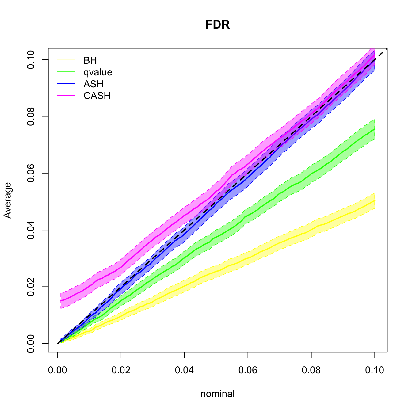
\[ g = 0.5\delta_0 + 0.5N(0, (2\sigma_n)^2) \]

| Version | Author | Date |
|---|---|---|
| 0f36d99 | LSun | 2017-12-21 |
| fb76f41 | LSun | 2017-11-29 |
| 92244e4 | LSun | 2017-11-28 |

sessionInfo()
R version 3.4.3 (2017-11-30)
Platform: x86_64-apple-darwin15.6.0 (64-bit)
Running under: macOS High Sierra 10.13.4
Matrix products: default
BLAS: /Library/Frameworks/R.framework/Versions/3.4/Resources/lib/libRblas.0.dylib
LAPACK: /Library/Frameworks/R.framework/Versions/3.4/Resources/lib/libRlapack.dylib
locale:
[1] en_US.UTF-8/en_US.UTF-8/en_US.UTF-8/C/en_US.UTF-8/en_US.UTF-8
attached base packages:
[1] stats graphics grDevices utils datasets methods base
other attached packages:
[1] edgeR_3.20.2 limma_3.34.4 ggplot2_2.2.1
[4] reshape2_1.4.3 ashr_2.2-2 Rmosek_8.0.69
[7] PolynomF_1.0-1 CVXR_0.95 REBayes_1.2
[10] Matrix_1.2-12 SQUAREM_2017.10-1 EQL_1.0-0
[13] ttutils_1.0-1
loaded via a namespace (and not attached):
[1] Rcpp_0.12.16 locfit_1.5-9.1 lattice_0.20-35
[4] rprojroot_1.3-2 digest_0.6.15 foreach_1.4.4
[7] gmp_0.5-13.1 truncnorm_1.0-7 R6_2.2.2
[10] plyr_1.8.4 backports_1.1.2 acepack_1.4.1
[13] evaluate_0.10.1 pillar_1.0.1 rlang_0.1.6
[16] lazyeval_0.2.1 pscl_1.5.2 data.table_1.10.4-3
[19] rstudioapi_0.7 whisker_0.3-2 R.utils_2.6.0
[22] R.oo_1.21.0 rpart_4.1-11 checkmate_1.8.5
[25] rmarkdown_1.9 labeling_0.3 splines_3.4.3
[28] stringr_1.3.0 foreign_0.8-69 htmlwidgets_0.9
[31] bit_1.1-12 munsell_0.4.3 compiler_3.4.3
[34] base64enc_0.1-3 htmltools_0.3.6 nnet_7.3-12
[37] htmlTable_1.11.1 tibble_1.4.1 gridExtra_2.3
[40] workflowr_1.0.1 Hmisc_4.1-0 codetools_0.2-15
[43] MASS_7.3-47 R.methodsS3_1.7.1 grid_3.4.3
[46] gtable_0.2.0 git2r_0.21.0 magrittr_1.5
[49] scales_0.5.0 stringi_1.1.6 Rmpfr_0.6-1
[52] doParallel_1.0.11 latticeExtra_0.6-28 Formula_1.2-2
[55] RColorBrewer_1.1-2 iterators_1.0.9 tools_3.4.3
[58] bit64_0.9-7 parallel_3.4.3 survival_2.41-3
[61] yaml_2.1.18 colorspace_1.3-2 cluster_2.0.6
[64] scs_1.1-1 ECOSolveR_0.4 knitr_1.20
This reproducible R Markdown analysis was created with workflowr 1.0.1