CASH on FDR, 2Warning in as.POSIXlt.POSIXct(Sys.time()): unknown timezone 'zone/tz/2017c.
1.0/zoneinfo/America/Chicago'
Last updated: 2017-11-29
Code version: 32adf96
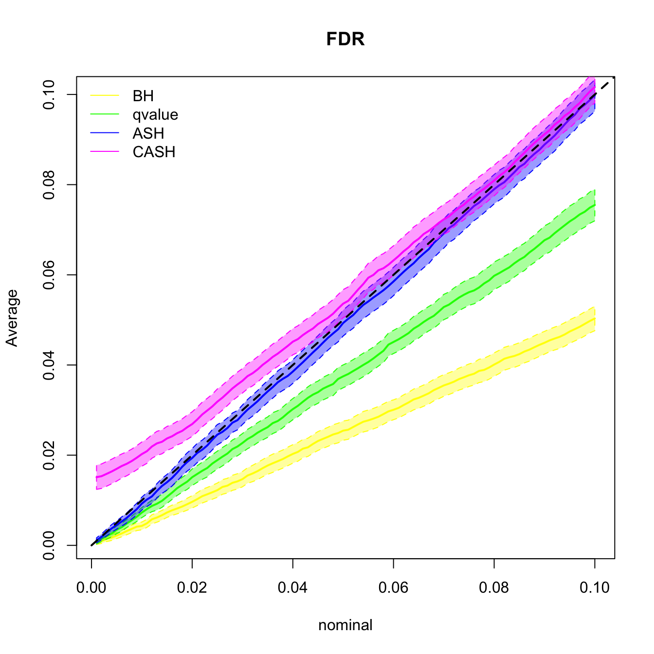
\[ g = 0.5\delta_0 + 0.5N(0, (2\sigma_n)^2) \]


sessionInfo()
R version 3.4.2 (2017-09-28)
Platform: x86_64-apple-darwin15.6.0 (64-bit)
Running under: macOS High Sierra 10.13.1
Matrix products: default
BLAS: /Library/Frameworks/R.framework/Versions/3.4/Resources/lib/libRblas.0.dylib
LAPACK: /Library/Frameworks/R.framework/Versions/3.4/Resources/lib/libRlapack.dylib
locale:
[1] en_US.UTF-8/en_US.UTF-8/en_US.UTF-8/C/en_US.UTF-8/en_US.UTF-8
attached base packages:
[1] stats     graphics  grDevices utils     datasets  methods   base     
other attached packages:
 [1] edgeR_3.20.1      limma_3.34.0      ggplot2_2.2.1    
 [4] reshape2_1.4.2    ashr_2.1-27       Rmosek_7.1.3     
 [7] PolynomF_0.94     cvxr_0.0.0.9009   REBayes_0.85     
[10] Matrix_1.2-11     SQUAREM_2017.10-1 EQL_1.0-0        
[13] ttutils_1.0-1    
loaded via a namespace (and not attached):
 [1] locfit_1.5-9.1      splines_3.4.2       lattice_0.20-35    
 [4] colorspace_1.3-2    htmltools_0.3.6     yaml_2.1.14        
 [7] base64enc_0.1-3     survival_2.41-3     rlang_0.1.4        
[10] foreign_0.8-69      RColorBrewer_1.1-2  foreach_1.4.3      
[13] plyr_1.8.4          stringr_1.2.0       munsell_0.4.3      
[16] gtable_0.2.0        htmlwidgets_0.9     codetools_0.2-15   
[19] evaluate_0.10.1     labeling_0.3        latticeExtra_0.6-28
[22] knitr_1.17          pscl_1.5.2          doParallel_1.0.11  
[25] parallel_3.4.2      htmlTable_1.9       Rcpp_0.12.13       
[28] acepack_1.4.1       checkmate_1.8.5     scales_0.5.0       
[31] backports_1.1.1     Hmisc_4.0-3         truncnorm_1.0-7    
[34] gridExtra_2.3       digest_0.6.12       stringi_1.1.5      
[37] grid_3.4.2          rprojroot_1.2       tools_3.4.2        
[40] magrittr_1.5        lazyeval_0.2.1      tibble_1.3.4       
[43] Formula_1.2-2       cluster_2.0.6       MASS_7.3-47        
[46] data.table_1.10.4-3 rmarkdown_1.6       iterators_1.0.8    
[49] rpart_4.1-11        nnet_7.3-12         git2r_0.19.0       
[52] compiler_3.4.2     
This R Markdown site was created with workflowr