Last updated: 2018-05-19
workflowr checks: (Click a bullet for more information) ✔ R Markdown file: up-to-date
Great! Since the R Markdown file has been committed to the Git repository, you know the exact version of the code that produced these results.
✔ Environment: empty
Great job! The global environment was empty. Objects defined in the global environment can affect the analysis in your R Markdown file in unknown ways. For reproduciblity it’s best to always run the code in an empty environment.
✔ Seed:
set.seed(20180501)
The command set.seed(20180501) was run prior to running the code in the R Markdown file. Setting a seed ensures that any results that rely on randomness, e.g. subsampling or permutations, are reproducible.
✔ Session information: recorded
Great job! Recording the operating system, R version, and package versions is critical for reproducibility.
✔ Repository version: 67830a5
wflow_publish or wflow_git_commit). workflowr only checks the R Markdown file, but you know if there are other scripts or data files that it depends on. Below is the status of the Git repository when the results were generated:
Ignored files:
Ignored: .Rhistory
Ignored: .Rproj.user/
Ignored: analysis/figure/
Ignored: log/
Untracked files:
Untracked: analysis/binom.Rmd
Untracked: analysis/overdis.Rmd
Untracked: analysis/poiwave.Rmd
Untracked: analysis/smashtutorial.Rmd
Untracked: data/treas_bill.csv
Untracked: docs/figure/smashtutorial.Rmd/
Unstaged changes:
Modified: analysis/ashpmean.Rmd
Modified: analysis/nugget.Rmd
Note that any generated files, e.g. HTML, png, CSS, etc., are not included in this status report because it is ok for generated content to have uncommitted changes.
Let \(X\sim Binomial(n,p)\) then \(E(X)=np, Var(X)=np(1-p)\). Poisson distribution is an approximation of binomial distribution when \(n\) is large and \(p\) is small. A rule of thumb is that \(n\geq 20, p\leq 0.05\).
Derivation: Let \(\lambda=np\)
\[\frac{n!}{x!(n-x)!}p^x(1-p)^{n-x}=\frac{n(n-1)...(n-k+1)}{x!}(\lambda/n)^x(1-\lambda/n)^{n-x}\approx \frac{\lambda^x}{x!}(1-\lambda/n)^{n-x}\] as \(n\to \infty\). Since \(lim_{n\to \infty}(1-\lambda/n)^{n}=e^{-\lambda}\) and \(lim_{n\to \infty}(1-\lambda/n)^{-x}=1\), we have \[\frac{n!}{x!(n-x)!}p^x(1-p)^{n-x}\approx \frac{\lambda^x e^{-\lambda}}{x!}.\]
If we have binomial observation \(X_t\) with \(n_t\) and treat it as Poisson observation, we can do the following expansion: \[Y_t=\log(X_t)=\log(n_tp_t)+\frac{X_t-n_tp_t}{n_tp_t}=\log(n_t)+\log(p_t)+\frac{X_t-n_tp_t}{n_tp_t}.\] This leads to \[Y_t-\log(n_t)=\log(p_t)+\frac{X_t-n_tp_t}{n_tp_t}.\]
We compare the performance of smashgen - binomial and smashgen - poi_binom, as well as Translation Invariant (TI) thresholding (Coifman and Donoho, 1995), which is one of the best methods in a large-scale simulation study in Antoniadis et al. (2001), and Ebayesthresh (Johnstone and Silverman, 2005b).
For all experiments, T is set to be 256, nugget effect \(\sigma=1\). The mean squared errors are reported and the plots are served as visual aids.
library(smashrgen)
library(ggplot2)
library(EbayesThresh)
simu_study=function(p,sigma=1,ntri,nsimu=100,seed=12345,
niter=1,family='DaubExPhase',ashp=TRUE,verbose=FALSE,robust=FALSE,
tol=1e-2){
set.seed(seed)
smash.binom.err=c()
smash.poibinom.err=c()
ti.thresh.err=c()
eb.thresh.err=c()
n=length(p)
target=exp(p)/(1+exp(p))
for(k in 1:nsimu){
ng=rnorm(n,0,sigma)
m=exp(p+ng)
q=m/(1+m)
x=rbinom(n,ntri,q)
#fit data
smash.binom.out=smash_gen(x,dist_family = 'binomial',y_var_est='smashu',ntri=ntri)
smash.poibinom.out=smash_gen(x,dist_family = 'poi_binom',y_var_est='smashu',ntri=ntri)
ti.thresh.out=ti.thresh(x/ntri,method='rmad')
eb.thresh.out=waveti.ebayes(x/ntri)
#errors
smash.binom.err[k]=mse(target,smash.binom.out)
smash.poibinom.err[k]=mse(target,smash.poibinom.out)
ti.thresh.err[k]=mse(target,ti.thresh.out)
eb.thresh.err[k]=mse(target,eb.thresh.out)
}
return(list(est=list(smash.binom.out=smash.binom.out,smash.poibinom.out=smash.poibinom.out, ti.thresh.out=ti.thresh.out,eb.thresh.out=eb.thresh.out,x=x),
err=data.frame(smash.binom=smash.binom.err,smash.poibinom=smash.poibinom.err, ti.thresh=ti.thresh.err,eb.thresh=eb.thresh.err)))
}
waveti.ebayes = function(x, filter.number = 10, family = "DaubLeAsymm", min.level = 3) {
n = length(x)
J = log2(n)
x.w = wd(x, filter.number, family, type = "station")
for (j in min.level:(J - 1)) {
x.pm = ebayesthresh(accessD(x.w, j))
x.w = putD(x.w, j, x.pm)
}
mu.est = AvBasis(convert(x.w))
return(mu.est)
}
The number of trials are generated from a Poisson distribution with \(\lambda=5\). \(p\) is around 0.8.
n=256
p=rep(1.5,n)
set.seed(111)
ntri=rpois(n,5)+1
result=simu_study(p,ntri=ntri)
ggplot(df2gg(result$err),aes(x=method,y=MSE))+geom_boxplot(aes(fill=method))+labs(x='')

| Version | Author | Date |
|---|---|---|
| 9d6ca07 | Dongyue | 2018-05-18 |
apply(result$err,2,mean)
smash.binom smash.poibinom ti.thresh eb.thresh
0.0002064033 0.0006906048 0.0029693084 0.0036475976
par(mfrow=c(2,2))
plot(result$est$x/ntri,col='gray80',ylab='',main='smash-binom')
lines(exp(p)/(1+exp(p)),lty=2)
lines(result$est$smash.binom.out,col=4,lwd=2)
legend("bottomright", # places a legend at the appropriate place
c("truth","smash-binom"), # puts text in the legend
lty=c(2,1), # gives the legend appropriate symbols (lines)
lwd=c(1,2),
cex = 1,
col=c("black","blue"))
plot(result$est$x/ntri,col='gray80',ylab='',main='smash-poi_binom')
lines(exp(p)/(1+exp(p)),lty=2)
lines(result$est$smash.poibinom.out,col=4,lwd=2)
plot(result$est$x/ntri,col='gray80',ylab='',main='TI thresh')
lines(exp(p)/(1+exp(p)),lty=2)
lines(result$est$ti.thresh.out,col=4,lwd=2)
plot(result$est$x/ntri,col='gray80',ylab='',main='EBayes thresh')
lines(exp(p)/(1+exp(p)),lty=2)
lines(result$est$eb.thresh.out,col=4,lwd=2)

| Version | Author | Date |
|---|---|---|
| 9d6ca07 | Dongyue | 2018-05-18 |
We add 44 to the \(ntri\) above so that its mean is around 50.
n=256
p=rep(1.5,n)
set.seed(111)
ntri=ntri+44
result=simu_study(p,ntri=ntri)
ggplot(df2gg(result$err),aes(x=method,y=MSE))+geom_boxplot(aes(fill=method))+labs(x='')

| Version | Author | Date |
|---|---|---|
| 9d6ca07 | Dongyue | 2018-05-18 |
apply(result$err,2,mean)
smash.binom smash.poibinom ti.thresh eb.thresh
0.0001524936 0.0041117817 0.0023245279 0.0026075416
par(mfrow=c(2,2))
plot(result$est$x/ntri,col='gray80',ylab='',main='smash-binom')
lines(exp(p)/(1+exp(p)),lty=2)
lines(result$est$smash.binom.out,col=4,lwd=2)
legend("bottomright", # places a legend at the appropriate place
c("truth","smash-binom"), # puts text in the legend
lty=c(2,1), # gives the legend appropriate symbols (lines)
lwd=c(1,2),
cex = 1,
col=c("black","blue"))
plot(result$est$x/ntri,col='gray80',ylab='',main='smash-poi_binom')
lines(exp(p)/(1+exp(p)),lty=2)
lines(result$est$smash.poibinom.out,col=4,lwd=2)
plot(result$est$x/ntri,col='gray80',ylab='',main='TI thresh')
lines(exp(p)/(1+exp(p)),lty=2)
lines(result$est$ti.thresh.out,col=4,lwd=2)
plot(result$est$x/ntri,col='gray80',ylab='',main='EBayes thresh')
lines(exp(p)/(1+exp(p)),lty=2)
lines(result$est$eb.thresh.out,col=4,lwd=2)

| Version | Author | Date |
|---|---|---|
| 9d6ca07 | Dongyue | 2018-05-18 |
\(p\) is around 0.05.
n=256
p=rep(-3,n)
set.seed(111)
ntri=ntri
result=simu_study(p,ntri=ntri)
ggplot(df2gg(result$err),aes(x=method,y=MSE))+geom_boxplot(aes(fill=method))+labs(x='')

| Version | Author | Date |
|---|---|---|
| 9d6ca07 | Dongyue | 2018-05-18 |
ggplot(df2gg(result$err[,1:2]),aes(x=method,y=MSE))+geom_boxplot(aes(fill=method))+labs(x='')

| Version | Author | Date |
|---|---|---|
| 9d6ca07 | Dongyue | 2018-05-18 |
apply(result$err,2,mean)
smash.binom smash.poibinom ti.thresh eb.thresh
1.638404e-05 1.696551e-05 1.183316e-03 1.367054e-03
par(mfrow=c(2,2))
plot(result$est$x/ntri,col='gray80',ylab='',main='smash-binom')
lines(exp(p)/(1+exp(p)),lty=2)
lines(result$est$smash.binom.out,col=4,lwd=2)
plot(result$est$x/ntri,col='gray80',ylab='',main='smash-poi_binom')
lines(exp(p)/(1+exp(p)),lty=2)
lines(result$est$smash.poibinom.out,col=4,lwd=2)
plot(result$est$x/ntri,col='gray80',ylab='',main='TI thresh')
lines(exp(p)/(1+exp(p)),lty=2)
lines(result$est$ti.thresh.out,col=4,lwd=2)
plot(result$est$x/ntri,col='gray80',ylab='',main='EBayes thresh')
lines(exp(p)/(1+exp(p)),lty=2)
lines(result$est$eb.thresh.out,col=4,lwd=2)

| Version | Author | Date |
|---|---|---|
| 9d6ca07 | Dongyue | 2018-05-18 |
As expected, when \(n\) is large and \(p\) is small, Poisson distribution is a good approximation to binomial distribution.
n=256
p=rep(-3,n)
set.seed(111)
ntri=rpois(n,5)+1
result=simu_study(p,ntri=ntri)
ggplot(df2gg(result$err),aes(x=method,y=MSE))+geom_boxplot(aes(fill=method))+labs(x='')

| Version | Author | Date |
|---|---|---|
| 9d6ca07 | Dongyue | 2018-05-18 |
apply(result$err,2,mean)
smash.binom smash.poibinom ti.thresh eb.thresh
0.0004194395 0.0039619590 0.0068907435 0.0034840933
par(mfrow=c(2,2))
plot(result$est$x/ntri,col='gray80',ylab='',main='smash-binom')
lines(exp(p)/(1+exp(p)),lty=2)
lines(result$est$smash.binom.out,col=4,lwd=2)
plot(result$est$x/ntri,col='gray80',ylab='',main='smash-poi_binom')
lines(exp(p)/(1+exp(p)),lty=2)
lines(result$est$smash.poibinom.out,col=4,lwd=2)
plot(result$est$x/ntri,col='gray80',ylab='',main='TI thresh')
lines(exp(p)/(1+exp(p)),lty=2)
lines(result$est$ti.thresh.out,col=4,lwd=2)
plot(result$est$x/ntri,col='gray80',ylab='',main='EBayes thresh')
lines(exp(p)/(1+exp(p)),lty=2)
lines(result$est$eb.thresh.out,col=4,lwd=2)

| Version | Author | Date |
|---|---|---|
| 9d6ca07 | Dongyue | 2018-05-18 |
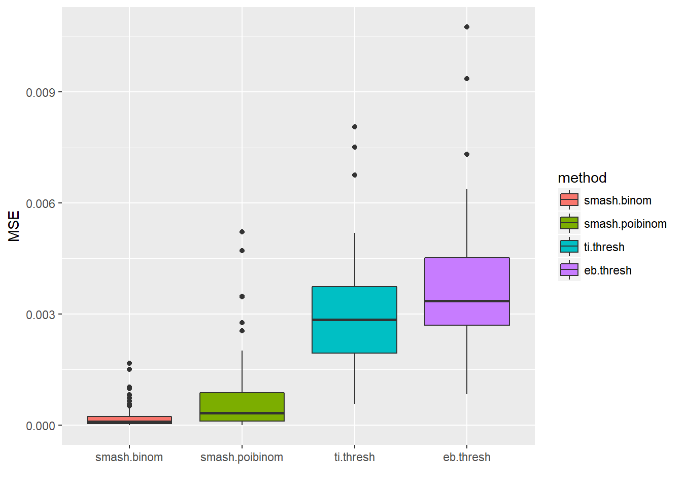
p=c(rep(-2,64), rep(0, 64), rep(2, 64), rep(-2, 64))
set.seed(111)
ntri=rpois(256,5)+1
result=simu_study(p,ntri=ntri)
ggplot(df2gg(result$err),aes(x=method,y=MSE))+geom_boxplot(aes(fill=method))+labs(x='')

| Version | Author | Date |
|---|---|---|
| 9d6ca07 | Dongyue | 2018-05-18 |
apply(result$err,2,mean)
smash.binom smash.poibinom ti.thresh eb.thresh
0.004713551 0.008199597 0.008406726 0.012840545
par(mfrow=c(2,2))
plot(result$est$x/ntri,col='gray80',ylab='',main='smash-binom')
lines(exp(p)/(1+exp(p)),lty=2)
lines(result$est$smash.binom.out,col=4,lwd=2)
plot(result$est$x/ntri,col='gray80',ylab='',main='smash-poi_binom')
lines(exp(p)/(1+exp(p)),lty=2)
lines(result$est$smash.poibinom.out,col=4,lwd=2)
plot(result$est$x/ntri,col='gray80',ylab='',main='TI thresh')
lines(exp(p)/(1+exp(p)),lty=2)
lines(result$est$ti.thresh.out,col=4,lwd=2)
plot(result$est$x/ntri,col='gray80',ylab='',main='EBayes thresh')
lines(exp(p)/(1+exp(p)),lty=2)
lines(result$est$eb.thresh.out,col=4,lwd=2)

| Version | Author | Date |
|---|---|---|
| 9d6ca07 | Dongyue | 2018-05-18 |
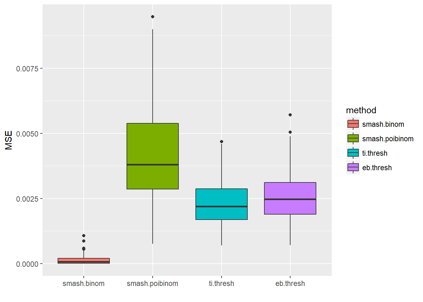
p=c(rep(-2,64), rep(0, 64), rep(2, 64), rep(-2, 64))
set.seed(111)
ntri=ntri+44
result=simu_study(p,ntri=ntri)
ggplot(df2gg(result$err),aes(x=method,y=MSE))+geom_boxplot(aes(fill=method))+labs(x='')

| Version | Author | Date |
|---|---|---|
| 9d6ca07 | Dongyue | 2018-05-18 |
apply(result$err,2,mean)
smash.binom smash.poibinom ti.thresh eb.thresh
0.002653184 0.008115945 0.005058030 0.011180475
par(mfrow=c(2,2))
plot(result$est$x/ntri,col='gray80',ylab='',main='smash-binom')
lines(exp(p)/(1+exp(p)),lty=2)
lines(result$est$smash.binom.out,col=4,lwd=2)
plot(result$est$x/ntri,col='gray80',ylab='',main='smash-poi_binom')
lines(exp(p)/(1+exp(p)),lty=2)
lines(result$est$smash.poibinom.out,col=4,lwd=2)
plot(result$est$x/ntri,col='gray80',ylab='',main='TI thresh')
lines(exp(p)/(1+exp(p)),lty=2)
lines(result$est$ti.thresh.out,col=4,lwd=2)
plot(result$est$x/ntri,col='gray80',ylab='',main='EBayes thresh')
lines(exp(p)/(1+exp(p)),lty=2)
lines(result$est$eb.thresh.out,col=4,lwd=2)

| Version | Author | Date |
|---|---|---|
| 9d6ca07 | Dongyue | 2018-05-18 |
set.seed(111)
ntri=rpois(256,5)+1
result=simu_study(p,ntri=ntri)
ggplot(df2gg(result$err),aes(x=method,y=MSE))+geom_boxplot(aes(fill=method))+labs(x='')

| Version | Author | Date |
|---|---|---|
| 9d6ca07 | Dongyue | 2018-05-18 |
apply(result$err,2,mean)
smash.binom smash.poibinom ti.thresh eb.thresh
0.004713551 0.008199597 0.008406726 0.012840545
par(mfrow=c(2,2))
plot(result$est$x/ntri,col='gray80',ylab='',main='smash-binom')
lines(exp(p)/(1+exp(p)),lty=2)
lines(result$est$smash.binom.out,col=4,lwd=2)
plot(result$est$x/ntri,col='gray80',ylab='',main='smash-poi_binom')
lines(exp(p)/(1+exp(p)),lty=2)
lines(result$est$smash.poibinom.out,col=4,lwd=2)
plot(result$est$x/ntri,col='gray80',ylab='',main='TI thresh')
lines(exp(p)/(1+exp(p)),lty=2)
lines(result$est$ti.thresh.out,col=4,lwd=2)
plot(result$est$x/ntri,col='gray80',ylab='',main='EBayes thresh')
lines(exp(p)/(1+exp(p)),lty=2)
lines(result$est$eb.thresh.out,col=4,lwd=2)

| Version | Author | Date |
|---|---|---|
| 9d6ca07 | Dongyue | 2018-05-18 |
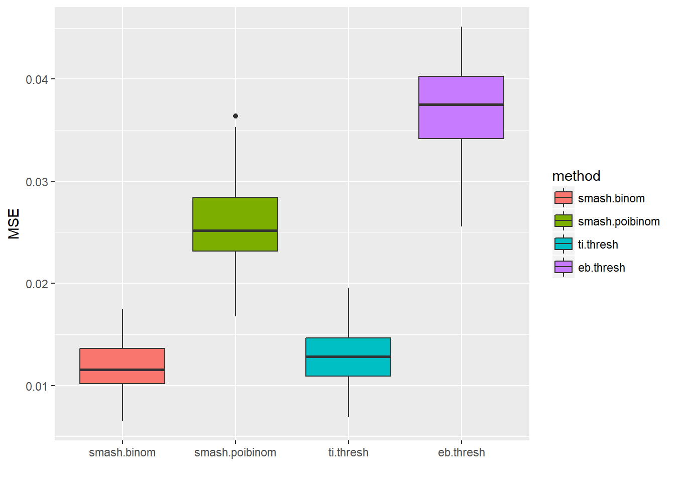
m=seq(0,1,length.out = 256)
h = c(4, 5, 3, 4, 5, 4.2, 2.1, 4.3, 3.1, 5.1, 4.2)
w = c(0.005, 0.005, 0.006, 0.01, 0.01, 0.03, 0.01, 0.01, 0.005,0.008,0.005)
t=c(.1,.13,.15,.23,.25,.4,.44,.65,.76,.78,.81)
f = c()
for(i in 1:length(m)){
f[i]=sum(h*(1+((m[i]-t)/w)^4)^(-1))
}
p=f-3
set.seed(111)
ntri=ntri+44
result=simu_study(p,ntri=ntri)
ggplot(df2gg(result$err),aes(x=method,y=MSE))+geom_boxplot(aes(fill=method))+labs(x='')

| Version | Author | Date |
|---|---|---|
| 9d6ca07 | Dongyue | 2018-05-18 |
apply(result$err,2,mean)
smash.binom smash.poibinom ti.thresh eb.thresh
0.01186805 0.02590525 0.01273087 0.03682167
par(mfrow=c(2,2))
plot(result$est$x/ntri,col='gray80',ylab='',main='smash-binom')
lines(exp(p)/(1+exp(p)),lty=2)
lines(result$est$smash.binom.out,col=4,lwd=2)
plot(result$est$x/ntri,col='gray80',ylab='',main='smash-poi_binom')
lines(exp(p)/(1+exp(p)),lty=2)
lines(result$est$smash.poibinom.out,col=4,lwd=2)
plot(result$est$x/ntri,col='gray80',ylab='',main='TI thresh')
lines(exp(p)/(1+exp(p)),lty=2)
lines(result$est$ti.thresh.out,col=4,lwd=2)
plot(result$est$x/ntri,col='gray80',ylab='',main='EBayes thresh')
lines(exp(p)/(1+exp(p)),lty=2)
lines(result$est$eb.thresh.out,col=4,lwd=2)

| Version | Author | Date |
|---|---|---|
| 9d6ca07 | Dongyue | 2018-05-18 |
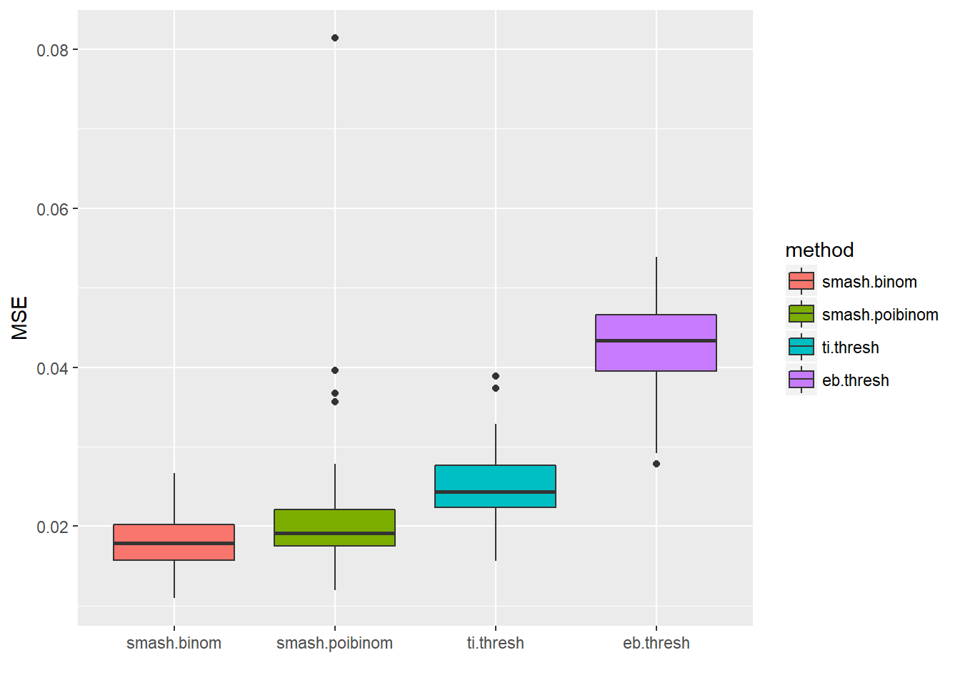
set.seed(111)
ntri=rpois(256,5)+1
result=simu_study(p,ntri=ntri)
ggplot(df2gg(result$err),aes(x=method,y=MSE))+geom_boxplot(aes(fill=method))+labs(x='')

| Version | Author | Date |
|---|---|---|
| 9d6ca07 | Dongyue | 2018-05-18 |
apply(result$err,2,mean)
smash.binom smash.poibinom ti.thresh eb.thresh
0.01793979 0.02080153 0.02484011 0.04274885
par(mfrow=c(2,2))
plot(result$est$x/ntri,col='gray80',ylab='',main='smash-binom')
lines(exp(p)/(1+exp(p)),lty=2)
lines(result$est$smash.binom.out,col=4,lwd=2)
plot(result$est$x/ntri,col='gray80',ylab='',main='smash-poi_binom')
lines(exp(p)/(1+exp(p)),lty=2)
lines(result$est$smash.poibinom.out,col=4,lwd=2)
plot(result$est$x/ntri,col='gray80',ylab='',main='TI thresh')
lines(exp(p)/(1+exp(p)),lty=2)
lines(result$est$ti.thresh.out,col=4,lwd=2)
plot(result$est$x/ntri,col='gray80',ylab='',main='EBayes thresh')
lines(exp(p)/(1+exp(p)),lty=2)
lines(result$est$eb.thresh.out,col=4,lwd=2)

| Version | Author | Date |
|---|---|---|
| 9d6ca07 | Dongyue | 2018-05-18 |
spike.f = function(x) (0.75 * exp(-500 * (x - 0.23)^2) + 1.5 * exp(-2000 * (x - 0.33)^2) + 3 * exp(-8000 * (x - 0.47)^2) + 2.25 * exp(-16000 *
(x - 0.69)^2) + 0.5 * exp(-32000 * (x - 0.83)^2))
n = 256
t = 1:n/n
p = spike.f(t)*2-2
set.seed(111)
ntri=ntri+44
result=simu_study(p,ntri=ntri)
ggplot(df2gg(result$err),aes(x=method,y=MSE))+geom_boxplot(aes(fill=method))+labs(x='')

| Version | Author | Date |
|---|---|---|
| 9d6ca07 | Dongyue | 2018-05-18 |
apply(result$err,2,mean)
smash.binom smash.poibinom ti.thresh eb.thresh
0.005917600 0.017084435 0.009726599 0.010659236
par(mfrow=c(2,2))
plot(result$est$x/ntri,col='gray80',ylab='',main='smash-binom')
lines(exp(p)/(1+exp(p)),lty=2)
lines(result$est$smash.binom.out,col=4,lwd=2)
plot(result$est$x/ntri,col='gray80',ylab='',main='smash-poi_binom')
lines(exp(p)/(1+exp(p)),lty=2)
lines(result$est$smash.poibinom.out,col=4,lwd=2)
plot(result$est$x/ntri,col='gray80',ylab='',main='TI thresh')
lines(exp(p)/(1+exp(p)),lty=2)
lines(result$est$ti.thresh.out,col=4,lwd=2)
plot(result$est$x/ntri,col='gray80',ylab='',main='EBayes thresh')
lines(exp(p)/(1+exp(p)),lty=2)
lines(result$est$eb.thresh.out,col=4,lwd=2)

| Version | Author | Date |
|---|---|---|
| 9d6ca07 | Dongyue | 2018-05-18 |
When \(p\) is unchanged, smaller number of trials lead to larger MSE for smashgen-binom, TI thresh and EB thresh, while this is not the case for smash-poi_binom. This seems strange. I think the reason is that with the increase of \(ntri\), the variance also increases. Hence, when we treat the data as poisson and try to use ash ‘estimating’ the \(\lambda_i\)(or \(n_ip_i\)), the estimates are not as good as the smaller variance cases.
sessionInfo()
R version 3.4.0 (2017-04-21)
Platform: x86_64-w64-mingw32/x64 (64-bit)
Running under: Windows 10 x64 (build 16299)
Matrix products: default
locale:
[1] LC_COLLATE=English_United States.1252
[2] LC_CTYPE=English_United States.1252
[3] LC_MONETARY=English_United States.1252
[4] LC_NUMERIC=C
[5] LC_TIME=English_United States.1252
attached base packages:
[1] stats graphics grDevices utils datasets methods base
other attached packages:
[1] EbayesThresh_1.4-12 ggplot2_2.2.1 smashrgen_0.1.0
[4] wavethresh_4.6.8 MASS_7.3-47 caTools_1.17.1
[7] ashr_2.2-7 smashr_1.1-5
loaded via a namespace (and not attached):
[1] Rcpp_0.12.16 plyr_1.8.4 compiler_3.4.0
[4] git2r_0.21.0 workflowr_1.0.1 R.methodsS3_1.7.1
[7] R.utils_2.6.0 bitops_1.0-6 iterators_1.0.8
[10] tools_3.4.0 digest_0.6.13 tibble_1.3.3
[13] evaluate_0.10 gtable_0.2.0 lattice_0.20-35
[16] rlang_0.1.2 Matrix_1.2-9 foreach_1.4.3
[19] yaml_2.1.19 parallel_3.4.0 stringr_1.3.0
[22] knitr_1.20 REBayes_1.3 rprojroot_1.3-2
[25] grid_3.4.0 data.table_1.10.4-3 rmarkdown_1.8
[28] magrittr_1.5 whisker_0.3-2 backports_1.0.5
[31] scales_0.4.1 codetools_0.2-15 htmltools_0.3.5
[34] assertthat_0.2.0 colorspace_1.3-2 labeling_0.3
[37] stringi_1.1.6 Rmosek_8.0.69 lazyeval_0.2.1
[40] munsell_0.4.3 doParallel_1.0.11 pscl_1.4.9
[43] truncnorm_1.0-7 SQUAREM_2017.10-1 R.oo_1.21.0
This reproducible R Markdown analysis was created with workflowr 1.0.1