Last updated: 2018-05-18
workflowr checks: (Click a bullet for more information) ✔ R Markdown file: up-to-date 
Great! Since the R Markdown file has been committed to the Git repository, you know the exact version of the code that produced these results.
 ✔ Environment: empty 
Great job! The global environment was empty. Objects defined in the global environment can affect the analysis in your R Markdown file in unknown ways. For reproduciblity it’s best to always run the code in an empty environment.
 ✔ Seed: 
set.seed(20180501) 
The command set.seed(20180501) was run prior to running the code in the R Markdown file. Setting a seed ensures that any results that rely on randomness, e.g. subsampling or permutations, are reproducible.
 ✔ Session information: recorded 
Great job! Recording the operating system, R version, and package versions is critical for reproducibility.
 ✔ Repository version: 585d9b1 
wflow_publish or wflow_git_commit). workflowr only checks the R Markdown file, but you know if there are other scripts or data files that it depends on. Below is the status of the Git repository when the results were generated:
Ignored files:
    Ignored:    .Rhistory
    Ignored:    .Rproj.user/
    Ignored:    log/
Untracked files:
    Untracked:  analysis/binom.Rmd
    Untracked:  analysis/overdis.Rmd
    Untracked:  analysis/smashtutorial.Rmd
    Untracked:  data/treas_bill.csv
    Untracked:  docs/figure/smashtutorial.Rmd/
Unstaged changes:
    Modified:   analysis/ashpmean.Rmd
    Modified:   analysis/nugget.Rmd
Note that any generated files, e.g. HTML, png, CSS, etc., are not included in this status report because it is ok for generated content to have uncommitted changes. 
| File | Version | Author | Date | Message | 
|---|---|---|---|---|
| Rmd | 585d9b1 | Dongyue | 2018-05-18 | binomial smooth vs poibinom | 
Let \(X\sim Binomial(n,p)\) then \(E(X)=np, Var(X)=np(1-p)\). Poisson distribution is an approximation of binomial distribution when \(n\) is large and \(p\) is small. A rule of thumb is that \(n\geq 20, p\leq 0.05\).
Derivation: Let \(\lambda=np\)
\[\frac{n!}{x!(n-x)!}p^x(1-p)^{n-x}=\frac{n(n-1)...(n-k+1)}{x!}(\lambda/n)^x(1-\lambda/n)^{n-x}\approx \frac{\lambda^x}{x!}(1-\lambda/n)^{n-x}\] as \(n\to \infty\). Since \(lim_{n\to \infty}(1-\lambda/n)^{n}=e^{-\lambda}\) and \(lim_{n\to \infty}(1-\lambda/n)^{-x}=1\), we have \[\frac{n!}{x!(n-x)!}p^x(1-p)^{n-x}\approx \frac{\lambda^x e^{-\lambda}}{x!}.\]
If we have binomial observation \(X_t\) with \(n_t\) and treat it as Poisson observation, we can do the following expansion: \[Y_t=\log(X_t)=\log(n_tp_t)+\frac{X_t-n_tp_t}{n_tp_t}=\log(n_t)+\log(p_t)+\frac{X_t-n_tp_t}{n_tp_t}.\] This leads to \[Y_t-\log(n_t)=\log(p_t)+\frac{X_t-n_tp_t}{n_tp_t}.\]
We compare the performance of smashgen - binomial and smashgen - poi_binom, as well as Translation Invariant (TI) thresholding (Coifman and Donoho, 1995), which is one of the best methods in a large-scale simulation study in Antoniadis et al. (2001), and Ebayesthresh (Johnstone and Silverman, 2005b).
For all experiments, T is set to be 256, nugget effect \(\sigma=1\). The mean squared errors are reported and the plots are served as visual aids.
library(smashrgen)
library(ggplot2)
library(EbayesThresh)
simu_study=function(p,sigma=1,ntri,nsimu=100,seed=12345,
                    niter=1,family='DaubExPhase',ashp=TRUE,verbose=FALSE,robust=FALSE,
                    tol=1e-2){
  set.seed(seed)
  smash.binom.err=c()
  smash.poibinom.err=c()
  ti.thresh.err=c()
  eb.thresh.err=c()
  n=length(p)
  target=exp(p)/(1+exp(p))
  for(k in 1:nsimu){
    ng=rnorm(n,0,sigma)
    m=exp(p+ng)
    q=m/(1+m)
    x=rbinom(n,ntri,q)
    #fit data
    smash.binom.out=smash_gen(x,dist_family = 'binomial',y_var_est='smashu',ntri=ntri)
    smash.poibinom.out=smash_gen(x,dist_family = 'poi_binom',y_var_est='smashu',ntri=ntri)
    ti.thresh.out=ti.thresh(x/ntri,method='rmad')
    eb.thresh.out=waveti.ebayes(x/ntri)
    #errors
    smash.binom.err[k]=mse(target,smash.binom.out)
    smash.poibinom.err[k]=mse(target,smash.poibinom.out)
    ti.thresh.err[k]=mse(target,ti.thresh.out)
    eb.thresh.err[k]=mse(target,eb.thresh.out)
  }
  return(list(est=list(smash.binom.out=smash.binom.out,smash.poibinom.out=smash.poibinom.out, ti.thresh.out=ti.thresh.out,eb.thresh.out=eb.thresh.out,x=x),
              err=data.frame(smash.binom=smash.binom.err,smash.poibinom=smash.poibinom.err, ti.thresh=ti.thresh.err,eb.thresh=eb.thresh.err)))
}
waveti.ebayes = function(x, filter.number = 10, family = "DaubLeAsymm", min.level = 3) {
    n = length(x)
    J = log2(n)
    x.w = wd(x, filter.number, family, type = "station")
    for (j in min.level:(J - 1)) {
        x.pm = ebayesthresh(accessD(x.w, j))
        x.w = putD(x.w, j, x.pm)
    }
    mu.est = AvBasis(convert(x.w))
    return(mu.est)
}
The number of trials are generated from a Poisson distribution with \(\lambda=50\). \(p\) is around 0.8.
n=256
p=rep(1.5,n)
set.seed(111)
ntri=rpois(n,50)
result=simu_study(p,ntri=ntri)
ggplot(df2gg(result$err),aes(x=method,y=MSE))+geom_boxplot(aes(fill=method))+labs(x='')

par(mfrow=c(2,2))
plot(result$est$x/ntri,col='gray80',ylab='',main='smash-binom')
lines(exp(p)/(1+exp(p)),lty=2)
lines(result$est$smash.binom.out,col=4,lwd=2)
legend("bottomright", # places a legend at the appropriate place
       c("truth","smash-binom"), # puts text in the legend
       lty=c(2,1), # gives the legend appropriate symbols (lines)
       lwd=c(1,2),
       cex = 1,
       col=c("black","blue"))
plot(result$est$x/ntri,col='gray80',ylab='',main='smash-poi_binom')
lines(exp(p)/(1+exp(p)),lty=2)
lines(result$est$smash.poibinom.out,col=4,lwd=2)
plot(result$est$x/ntri,col='gray80',ylab='',main='TI thresh')
lines(exp(p)/(1+exp(p)),lty=2)
lines(result$est$ti.thresh.out,col=4,lwd=2)
plot(result$est$x/ntri,col='gray80',ylab='',main='EBayes thresh')
lines(exp(p)/(1+exp(p)),lty=2)
lines(result$est$eb.thresh.out,col=4,lwd=2)

The number of trials are generated from a Poisson distribution with \(\lambda=8\). \(p\) is around 0.8.
n=256
p=rep(1.5,n)
set.seed(111)
ntri=rpois(n,5)+1
result=simu_study(p,ntri=ntri)
ggplot(df2gg(result$err),aes(x=method,y=MSE))+geom_boxplot(aes(fill=method))+labs(x='')

par(mfrow=c(2,2))
plot(result$est$x/ntri,col='gray80',ylab='',main='smash-binom')
lines(exp(p)/(1+exp(p)),lty=2)
lines(result$est$smash.binom.out,col=4,lwd=2)
legend("bottomright", # places a legend at the appropriate place
       c("truth","smash-binom"), # puts text in the legend
       lty=c(2,1), # gives the legend appropriate symbols (lines)
       lwd=c(1,2),
       cex = 1,
       col=c("black","blue"))
plot(result$est$x/ntri,col='gray80',ylab='',main='smash-poi_binom')
lines(exp(p)/(1+exp(p)),lty=2)
lines(result$est$smash.poibinom.out,col=4,lwd=2)
plot(result$est$x/ntri,col='gray80',ylab='',main='TI thresh')
lines(exp(p)/(1+exp(p)),lty=2)
lines(result$est$ti.thresh.out,col=4,lwd=2)
plot(result$est$x/ntri,col='gray80',ylab='',main='EBayes thresh')
lines(exp(p)/(1+exp(p)),lty=2)
lines(result$est$eb.thresh.out,col=4,lwd=2)

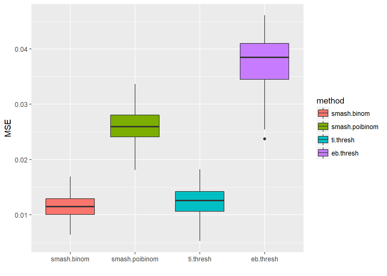
The number of trials are generated from a Poisson distribution with \(\lambda=50\). \(p\) is around 0.05.
n=256
p=rep(-3,n)
set.seed(111)
ntri=rpois(n,50)
result=simu_study(p,ntri=ntri)
ggplot(df2gg(result$err),aes(x=method,y=MSE))+geom_boxplot(aes(fill=method))+labs(x='')

ggplot(df2gg(result$err[,1:2]),aes(x=method,y=MSE))+geom_boxplot(aes(fill=method))+labs(x='')

par(mfrow=c(2,2))
plot(result$est$x/ntri,col='gray80',ylab='',main='smash-binom')
lines(exp(p)/(1+exp(p)),lty=2)
lines(result$est$smash.binom.out,col=4,lwd=2)
legend("bottomright", # places a legend at the appropriate place
       c("truth","smash-binom"), # puts text in the legend
       lty=c(2,1), # gives the legend appropriate symbols (lines)
       lwd=c(1,2),
       cex = 1,
       col=c("black","blue"))
plot(result$est$x/ntri,col='gray80',ylab='',main='smash-poi_binom')
lines(exp(p)/(1+exp(p)),lty=2)
lines(result$est$smash.poibinom.out,col=4,lwd=2)
plot(result$est$x/ntri,col='gray80',ylab='',main='TI thresh')
lines(exp(p)/(1+exp(p)),lty=2)
lines(result$est$ti.thresh.out,col=4,lwd=2)
plot(result$est$x/ntri,col='gray80',ylab='',main='EBayes thresh')
lines(exp(p)/(1+exp(p)),lty=2)
lines(result$est$eb.thresh.out,col=4,lwd=2)

As expected, when \(n\) is large and \(p\) is small, Poisson distribution is a good approximation to binomial distribution.
The number of trials are generated from a Poisson distribution with \(\lambda=5\). \(p\) is around 0.05.
n=256
p=rep(-3,n)
set.seed(111)
ntri=rpois(n,5)+1
result=simu_study(p,ntri=ntri)
ggplot(df2gg(result$err),aes(x=method,y=MSE))+geom_boxplot(aes(fill=method))+labs(x='')

par(mfrow=c(2,2))
plot(result$est$x/ntri,col='gray80',ylab='',main='smash-binom')
lines(exp(p)/(1+exp(p)),lty=2)
lines(result$est$smash.binom.out,col=4,lwd=2)
legend("bottomright", # places a legend at the appropriate place
       c("truth","smash-binom"), # puts text in the legend
       lty=c(2,1), # gives the legend appropriate symbols (lines)
       lwd=c(1,2),
       cex = 1,
       col=c("black","blue"))
plot(result$est$x/ntri,col='gray80',ylab='',main='smash-poi_binom')
lines(exp(p)/(1+exp(p)),lty=2)
lines(result$est$smash.poibinom.out,col=4,lwd=2)
plot(result$est$x/ntri,col='gray80',ylab='',main='TI thresh')
lines(exp(p)/(1+exp(p)),lty=2)
lines(result$est$ti.thresh.out,col=4,lwd=2)
plot(result$est$x/ntri,col='gray80',ylab='',main='EBayes thresh')
lines(exp(p)/(1+exp(p)),lty=2)
lines(result$est$eb.thresh.out,col=4,lwd=2)

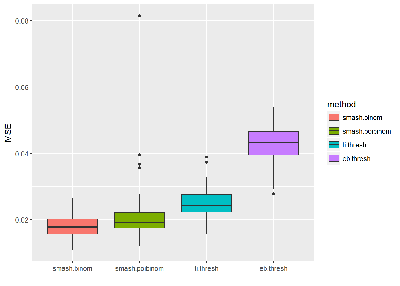
p=c(rep(-2,64), rep(0, 64), rep(2, 64), rep(-2, 64))
set.seed(111)
ntri=rpois(256,50)
result=simu_study(p,ntri=ntri)
ggplot(df2gg(result$err),aes(x=method,y=MSE))+geom_boxplot(aes(fill=method))+labs(x='')

par(mfrow=c(2,2))
plot(result$est$x/ntri,col='gray80',ylab='',main='smash-binom')
lines(exp(p)/(1+exp(p)),lty=2)
lines(result$est$smash.binom.out,col=4,lwd=2)
legend("bottomright", # places a legend at the appropriate place
       c("truth","smash-binom"), # puts text in the legend
       lty=c(2,1), # gives the legend appropriate symbols (lines)
       lwd=c(1,2),
       cex = 1,
       col=c("black","blue"))
plot(result$est$x/ntri,col='gray80',ylab='',main='smash-poi_binom')
lines(exp(p)/(1+exp(p)),lty=2)
lines(result$est$smash.poibinom.out,col=4,lwd=2)
plot(result$est$x/ntri,col='gray80',ylab='',main='TI thresh')
lines(exp(p)/(1+exp(p)),lty=2)
lines(result$est$ti.thresh.out,col=4,lwd=2)
plot(result$est$x/ntri,col='gray80',ylab='',main='EBayes thresh')
lines(exp(p)/(1+exp(p)),lty=2)
lines(result$est$eb.thresh.out,col=4,lwd=2)

p=c(rep(-2,64), rep(0, 64), rep(2, 64), rep(-2, 64))
set.seed(111)
ntri=rpois(256,5)+1
result=simu_study(p,ntri=ntri)
ggplot(df2gg(result$err),aes(x=method,y=MSE))+geom_boxplot(aes(fill=method))+labs(x='')

par(mfrow=c(2,2))
plot(result$est$x/ntri,col='gray80',ylab='',main='smash-binom')
lines(exp(p)/(1+exp(p)),lty=2)
lines(result$est$smash.binom.out,col=4,lwd=2)
legend("bottomright", # places a legend at the appropriate place
       c("truth","smash-binom"), # puts text in the legend
       lty=c(2,1), # gives the legend appropriate symbols (lines)
       lwd=c(1,2),
       cex = 1,
       col=c("black","blue"))
plot(result$est$x/ntri,col='gray80',ylab='',main='smash-poi_binom')
lines(exp(p)/(1+exp(p)),lty=2)
lines(result$est$smash.poibinom.out,col=4,lwd=2)
plot(result$est$x/ntri,col='gray80',ylab='',main='TI thresh')
lines(exp(p)/(1+exp(p)),lty=2)
lines(result$est$ti.thresh.out,col=4,lwd=2)
plot(result$est$x/ntri,col='gray80',ylab='',main='EBayes thresh')
lines(exp(p)/(1+exp(p)),lty=2)
lines(result$est$eb.thresh.out,col=4,lwd=2)

m=seq(0,1,length.out = 256)
h = c(4, 5, 3, 4, 5, 4.2, 2.1, 4.3, 3.1, 5.1, 4.2)
w = c(0.005, 0.005, 0.006, 0.01, 0.01, 0.03, 0.01, 0.01, 0.005,0.008,0.005)
t=c(.1,.13,.15,.23,.25,.4,.44,.65,.76,.78,.81)
f = c()
for(i in 1:length(m)){
  f[i]=sum(h*(1+((m[i]-t)/w)^4)^(-1))
}
p=f-3
set.seed(111)
ntri=rpois(256,50)
result=simu_study(p,ntri=ntri)
ggplot(df2gg(result$err),aes(x=method,y=MSE))+geom_boxplot(aes(fill=method))+labs(x='')

par(mfrow=c(2,2))
plot(result$est$x/ntri,col='gray80',ylab='',main='smash-binom')
lines(exp(p)/(1+exp(p)),lty=2)
lines(result$est$smash.binom.out,col=4,lwd=2)
legend("bottomright", # places a legend at the appropriate place
       c("truth","smash-binom"), # puts text in the legend
       lty=c(2,1), # gives the legend appropriate symbols (lines)
       lwd=c(1,2),
       cex = 1,
       col=c("black","blue"))
plot(result$est$x/ntri,col='gray80',ylab='',main='smash-poi_binom')
lines(exp(p)/(1+exp(p)),lty=2)
lines(result$est$smash.poibinom.out,col=4,lwd=2)
plot(result$est$x/ntri,col='gray80',ylab='',main='TI thresh')
lines(exp(p)/(1+exp(p)),lty=2)
lines(result$est$ti.thresh.out,col=4,lwd=2)
plot(result$est$x/ntri,col='gray80',ylab='',main='EBayes thresh')
lines(exp(p)/(1+exp(p)),lty=2)
lines(result$est$eb.thresh.out,col=4,lwd=2)

set.seed(111)
ntri=rpois(256,5)+1
result=simu_study(p,ntri=ntri)
ggplot(df2gg(result$err),aes(x=method,y=MSE))+geom_boxplot(aes(fill=method))+labs(x='')

par(mfrow=c(2,2))
plot(result$est$x/ntri,col='gray80',ylab='',main='smash-binom')
lines(exp(p)/(1+exp(p)),lty=2)
lines(result$est$smash.binom.out,col=4,lwd=2)
legend("bottomright", # places a legend at the appropriate place
       c("truth","smash-binom"), # puts text in the legend
       lty=c(2,1), # gives the legend appropriate symbols (lines)
       lwd=c(1,2),
       cex = 1,
       col=c("black","blue"))
plot(result$est$x/ntri,col='gray80',ylab='',main='smash-poi_binom')
lines(exp(p)/(1+exp(p)),lty=2)
lines(result$est$smash.poibinom.out,col=4,lwd=2)
plot(result$est$x/ntri,col='gray80',ylab='',main='TI thresh')
lines(exp(p)/(1+exp(p)),lty=2)
lines(result$est$ti.thresh.out,col=4,lwd=2)
plot(result$est$x/ntri,col='gray80',ylab='',main='EBayes thresh')
lines(exp(p)/(1+exp(p)),lty=2)
lines(result$est$eb.thresh.out,col=4,lwd=2)

spike.f = function(x) (0.75 * exp(-500 * (x - 0.23)^2) + 1.5 * exp(-2000 * (x - 0.33)^2) + 3 * exp(-8000 * (x - 0.47)^2) + 2.25 * exp(-16000 * 
    (x - 0.69)^2) + 0.5 * exp(-32000 * (x - 0.83)^2))
n = 256
t = 1:n/n
p = spike.f(t)*2-2
set.seed(111)
ntri=rpois(256,50)
result=simu_study(p,ntri=ntri)
ggplot(df2gg(result$err),aes(x=method,y=MSE))+geom_boxplot(aes(fill=method))+labs(x='')

par(mfrow=c(2,2))
plot(result$est$x/ntri,col='gray80',ylab='',main='smash-binom')
lines(exp(p)/(1+exp(p)),lty=2)
lines(result$est$smash.binom.out,col=4,lwd=2)
legend("bottomright", # places a legend at the appropriate place
       c("truth","smash-binom"), # puts text in the legend
       lty=c(2,1), # gives the legend appropriate symbols (lines)
       lwd=c(1,2),
       cex = 1,
       col=c("black","blue"))
plot(result$est$x/ntri,col='gray80',ylab='',main='smash-poi_binom')
lines(exp(p)/(1+exp(p)),lty=2)
lines(result$est$smash.poibinom.out,col=4,lwd=2)
plot(result$est$x/ntri,col='gray80',ylab='',main='TI thresh')
lines(exp(p)/(1+exp(p)),lty=2)
lines(result$est$ti.thresh.out,col=4,lwd=2)
plot(result$est$x/ntri,col='gray80',ylab='',main='EBayes thresh')
lines(exp(p)/(1+exp(p)),lty=2)
lines(result$est$eb.thresh.out,col=4,lwd=2)

set.seed(111)
ntri=rpois(256,5)+1
result=simu_study(p,ntri=ntri)
ggplot(df2gg(result$err),aes(x=method,y=MSE))+geom_boxplot(aes(fill=method))+labs(x='')

par(mfrow=c(2,2))
plot(result$est$x/ntri,col='gray80',ylab='',main='smash-binom')
lines(exp(p)/(1+exp(p)),lty=2)
lines(result$est$smash.binom.out,col=4,lwd=2)
legend("bottomright", # places a legend at the appropriate place
       c("truth","smash-binom"), # puts text in the legend
       lty=c(2,1), # gives the legend appropriate symbols (lines)
       lwd=c(1,2),
       cex = 1,
       col=c("black","blue"))
plot(result$est$x/ntri,col='gray80',ylab='',main='smash-poi_binom')
lines(exp(p)/(1+exp(p)),lty=2)
lines(result$est$smash.poibinom.out,col=4,lwd=2)
plot(result$est$x/ntri,col='gray80',ylab='',main='TI thresh')
lines(exp(p)/(1+exp(p)),lty=2)
lines(result$est$ti.thresh.out,col=4,lwd=2)
plot(result$est$x/ntri,col='gray80',ylab='',main='EBayes thresh')
lines(exp(p)/(1+exp(p)),lty=2)
lines(result$est$eb.thresh.out,col=4,lwd=2)

sessionInfo()
R version 3.4.0 (2017-04-21)
Platform: x86_64-w64-mingw32/x64 (64-bit)
Running under: Windows 10 x64 (build 16299)
Matrix products: default
locale:
[1] LC_COLLATE=English_United States.1252 
[2] LC_CTYPE=English_United States.1252   
[3] LC_MONETARY=English_United States.1252
[4] LC_NUMERIC=C                          
[5] LC_TIME=English_United States.1252    
attached base packages:
[1] stats     graphics  grDevices utils     datasets  methods   base     
other attached packages:
[1] EbayesThresh_1.4-12 ggplot2_2.2.1       smashrgen_0.1.0    
[4] wavethresh_4.6.8    MASS_7.3-47         caTools_1.17.1     
[7] ashr_2.2-7          smashr_1.1-5       
loaded via a namespace (and not attached):
 [1] Rcpp_0.12.16        plyr_1.8.4          compiler_3.4.0     
 [4] git2r_0.21.0        workflowr_1.0.1     R.methodsS3_1.7.1  
 [7] R.utils_2.6.0       bitops_1.0-6        iterators_1.0.8    
[10] tools_3.4.0         digest_0.6.13       tibble_1.3.3       
[13] evaluate_0.10       gtable_0.2.0        lattice_0.20-35    
[16] rlang_0.1.2         Matrix_1.2-9        foreach_1.4.3      
[19] yaml_2.1.19         parallel_3.4.0      stringr_1.3.0      
[22] knitr_1.20          REBayes_1.3         rprojroot_1.3-2    
[25] grid_3.4.0          data.table_1.10.4-3 rmarkdown_1.8      
[28] magrittr_1.5        whisker_0.3-2       backports_1.0.5    
[31] scales_0.4.1        codetools_0.2-15    htmltools_0.3.5    
[34] assertthat_0.2.0    colorspace_1.3-2    labeling_0.3       
[37] stringi_1.1.6       Rmosek_8.0.69       lazyeval_0.2.1     
[40] munsell_0.4.3       doParallel_1.0.11   pscl_1.4.9         
[43] truncnorm_1.0-7     SQUAREM_2017.10-1   R.oo_1.21.0        
This reproducible R Markdown analysis was created with workflowr 1.0.1