Last updated: 2018-05-10
workflowr checks: (Click a bullet for more information) ✔ R Markdown file: up-to-date
Great! Since the R Markdown file has been committed to the Git repository, you know the exact version of the code that produced these results.
✔ Environment: empty
Great job! The global environment was empty. Objects defined in the global environment can affect the analysis in your R Markdown file in unknown ways. For reproduciblity it’s best to always run the code in an empty environment.
✔ Seed:
set.seed(20180510)
The command set.seed(20180510) was run prior to running the code in the R Markdown file. Setting a seed ensures that any results that rely on randomness, e.g. subsampling or permutations, are reproducible.
✔ Session information: recorded
Great job! Recording the operating system, R version, and package versions is critical for reproducibility.
✔ Repository version: 9dae4f1
wflow_publish or wflow_git_commit). workflowr only checks the R Markdown file, but you know if there are other scripts or data files that it depends on. Below is the status of the Git repository when the results were generated:
Ignored files:
Ignored: .Rhistory
Ignored: .Rproj.user/
Untracked files:
Untracked: .DS_Store
Untracked: analysis/MashCommonbaseline_IBD.Rmd
Untracked: analysis/chunks.R
Untracked: analysis/figure/
Untracked: code/Microarray_All_GLM_IBD.R
Untracked: code/Microarray_Sep_GLM.R
Untracked: data/.DS_Store
Untracked: data/raw_data/
Untracked: data/results/.DS_Store
Untracked: data/results/Microarray_ASD_metaanalysis.rds
Untracked: data/results/Microarray_compiledGLM_IBD.rds
Untracked: data/results/tables/
Untracked: data/working_data/
Untracked: docs/figure/MashCommonbaseline_IBD.Rmd/
Untracked: output/MashCB_EE_Cov_IBD.rds
Untracked: output/MashCB_model_EE_IBD.rds
Unstaged changes:
Modified: code/Microarray_All_GLM.R
Modified: data/results/Microarray_compiledGLM.rds
Modified: output/MashCB_EE_Cov.rds
Modified: output/MashCB_model_EE.rds
Note that any generated files, e.g. HTML, png, CSS, etc., are not included in this status report because it is ok for generated content to have uncommitted changes.
Last updated: 2018-05-10
Code version: 9dae4f1
library(limma); library(mashr); library(mclust); library(plyr);
Loading required package: ashr
Package 'mclust' version 5.4
Type 'citation("mclust")' for citing this R package in publications.
Attaching package: 'mclust'
The following object is masked from 'package:ashr':
dens
library(flashr); library(colorRamps); library(corrplot)
corrplot 0.84 loaded
data = readRDS('data/results/Microarray_compiledGLM.rds')
The standard errors in the data are from t distribution with df 733. Since pt(-abs(Bhat/Shat), df) is very close to zero, it is hard to obtain the standard error from the normal distribution. The degree of freedom is large here, we use the original standard error.
mash.data = mash_set_data(Bhat = data$Chat, Shat = data$SE)
L = diag(ncol(data$Chat))
# the 4th col is CTL
L[,4] = -1
row.names(L) = colnames(data$Chat)
L = L[-4,]
mash.data.diff = mash_set_data_contrast(mash.data, L)
Top genes:
# find strong genes
m.1by1 = mash_1by1(mash.data.diff, alpha=0)
strong = get_significant_results(m.1by1)
# almost all genes are strong
set.seed(100)
strong.sample = sample(strong, length(strong)/2, replace = FALSE)
Z = mash.data.diff$Bhat/mash.data.diff$Shat
Z.strong = Z[strong.sample,]
# center
Z.center = apply(Z.strong, 2, function(x) x - mean(x))
Data Driven:
Flash:
flash.data = flash_set_data(Z.center)
fmodel = flash(flash.data, greedy = TRUE, backfit = TRUE)
fitting factor/loading 1
fitting factor/loading 2
fitting factor/loading 3
fitting factor/loading 4
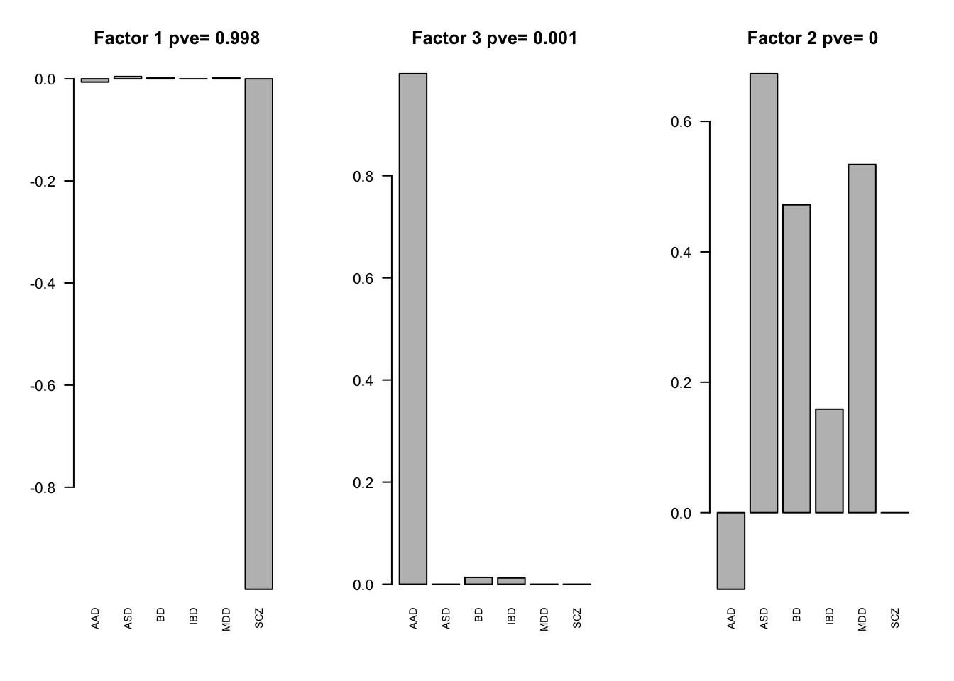
factors = flash_get_ldf(fmodel)$f
row.names(factors) = row.names(L)
pve.order = order(flash_get_pve(fmodel), decreasing = TRUE)
par(mfrow=c(1,3))
for(i in pve.order){
barplot(factors[,i], main=paste0('Factor ',i, ' pve= ', round(flash_get_pve(fmodel)[i],3)), las=2, cex.names = 0.7)
}

| Version | Author | Date |
|---|---|---|
| 60c0e2f | zouyuxin | 2018-05-10 |
par(mfrow=c(1,1))
flash on the loading:
loading = fmodel$EL[,1:3]
colnames(loading) = paste0('Factor',seq(1,3))
flash.loading = flash_set_data(loading)
flmodel = flash(flash.loading, greedy = TRUE, backfit = TRUE)
fitting factor/loading 1
The flash prefers the rank 0 model. There is no hidden structure in the loading matrix.
Cluster loadings:
mod = Mclust(loading)
summary(mod$BIC)
Best BIC values:
VVI,6 VVV,6 VVE,6
BIC -86384.64 -86386.602486 -86390.703783
BIC diff 0.00 -1.958074 -6.059371
Using clustering result to fit mash:
\[l_{i}\sim \sum_{j=1}^{m}N(\mu_{j}, \Sigma_{j})\] We estimate the covariance as \(F(\Sigma_j + \mu_{j}\mu_{j}')F'\).
U_list = alply(mod$parameters$variance$sigma,3)
mu_list = alply(mod$parameters$mean,2)
ll = list()
for (i in 1:length(U_list)){
ll[[i]] = U_list[[i]] + mu_list[[i]] %*% t(mu_list[[i]])
}
Factors = fmodel$EF[,1:3]
U.loading = lapply(ll, function(U){Factors %*% (U %*% t(Factors))})
names(U.loading) = paste0('Load', "_", (1:length(U.loading)))
# rank 1
Flash_res = flash_get_lf(fmodel)
U.Flash = c(mashr::cov_from_factors(t(as.matrix(factors)), "Flash"),
list("tFlash" = t(Flash_res) %*% Flash_res / nrow(Z.center)))
PCA:
U.pca = cov_pca(mash_set_data(Z.center), 3)
Canonical
U.c = cov_canonical(mash_set_data(Z.center))
Extreme Deconvolution
U.dd = c(U.pca, U.loading, U.Flash, list('XX' = t(Z.center) %*% Z.center / nrow(Z.center)))
mash.data.ed = mash.data.diff
mash.data.ed$Bhat = mash.data.diff$Bhat[strong,]
mash.data.ed$Shat = mash.data.diff$Shat[strong,]
mash.data.ed$Shat_alpha = mash.data.diff$Shat_alpha[strong,]
saveRDS(cov_ed(mash.data.ed, U.dd), 'output/MashCB_EE_Cov.rds')
U.ed = readRDS('output/MashCB_EE_Cov.rds')
saveRDS(mash(mash.data.diff, c(U.c, U.ed), algorithm.version = 'R'), 'output/MashCB_model_EE.rds')
mash.model = readRDS('output/MashCB_model_EE.rds')
The log-likelihood of fit is
get_loglik(mash.model)
[1] 24943.89
Here is a plot of weights learned:
options(repr.plot.width=12, repr.plot.height=4)
barplot(get_estimated_pi(mash.model), las = 2, cex.names = 0.7)

| Version | Author | Date |
|---|---|---|
| 60c0e2f | zouyuxin | 2018-05-10 |
Check tPCA covariance matrix
x <- mash.model$fitted_g$Ulist[["ED_tPCA"]]
colnames(x) <- row.names(L)
rownames(x) <- colnames(x)
corrplot(x, method='color', cl.lim=c(-0.1,1), type='upper', addCoef.col = "black", tl.col="black", tl.srt=45, col=colorRampPalette(c("blue","white","red"))(200))

| Version | Author | Date |
|---|---|---|
| 60c0e2f | zouyuxin | 2018-05-10 |
layout(matrix(c(1,2,3,4), 2, 2, byrow=TRUE))
svd.out = svd(mash.model$fitted_g$Ulist[["ED_tPCA"]])
v = svd.out$v
colnames(v) = row.names(L)
rownames(v) = colnames(v)
options(repr.plot.width=10, repr.plot.height=5)
for (j in 1:4)
barplot(v[,j]/v[,j][which.max(abs(v[,j]))], cex.names = 0.7,
las = 2, main = paste0("EigenVector ", j, " for tPCA"))

| Version | Author | Date |
|---|---|---|
| 60c0e2f | zouyuxin | 2018-05-10 |
Check Load 4 covariance matrix
x <- mash.model$fitted_g$Ulist[["ED_Load_4"]]
colnames(x) <- row.names(L)
rownames(x) <- colnames(x)
corrplot(x, method='color', cl.lim=c(-0.2,1), type='upper', addCoef.col = "black", tl.col="black", tl.srt=45, col=colorRampPalette(c("blue","white","red"))(200))

layout(matrix(c(1,2,3,4), 2, 2, byrow=TRUE))
svd.out = svd(mash.model$fitted_g$Ulist[["ED_Load_4"]])
v = svd.out$v
colnames(v) = row.names(L)
rownames(v) = colnames(v)
options(repr.plot.width=10, repr.plot.height=5)
for (j in 1:4)
barplot(v[,j]/v[,j][which.max(abs(v[,j]))], cex.names = 0.7,
las = 2, main = paste0("EigenVector ", j, " for Load 4"))

There are 11207 diferentially expressed genes.
Check pairwise sharing by magnitude and sign:
x = get_pairwise_sharing(mash.model)
x[x > 1] <- 1
x[x < -1] <- -1
colnames(x) <- row.names(L)
rownames(x) <- colnames(x)
corrplot.mixed(x, tl.pos="d",upper='color', cl.lim=c(0,1), upper.col=colorRampPalette(rev(c("#D73027","#FC8D59","#FEE090","#FFFFBF",
"#E0F3F8","#91BFDB","#4575B4")))(40),
tl.cex=1.2)

| Version | Author | Date |
|---|---|---|
| 60c0e2f | zouyuxin | 2018-05-10 |
Check pairwise sharing by sign:
x = get_pairwise_sharing(mash.model, factor=0)
x[x > 1] <- 1
x[x < -1] <- -1
colnames(x) <- row.names(L)
rownames(x) <- colnames(x)
corrplot.mixed(x, tl.pos="d",upper='color', cl.lim=c(0,1), upper.col=colorRampPalette(rev(c("#D73027","#FC8D59","#FEE090","#FFFFBF",
"#E0F3F8","#91BFDB","#4575B4")))(40),
tl.cex=1.2)

| Version | Author | Date |
|---|---|---|
| 60c0e2f | zouyuxin | 2018-05-10 |
sessionInfo()
R version 3.4.4 (2018-03-15)
Platform: x86_64-apple-darwin15.6.0 (64-bit)
Running under: macOS High Sierra 10.13.4
Matrix products: default
BLAS: /Library/Frameworks/R.framework/Versions/3.4/Resources/lib/libRblas.0.dylib
LAPACK: /Library/Frameworks/R.framework/Versions/3.4/Resources/lib/libRlapack.dylib
locale:
[1] en_US.UTF-8/en_US.UTF-8/en_US.UTF-8/C/en_US.UTF-8/en_US.UTF-8
attached base packages:
[1] stats graphics grDevices utils datasets methods base
other attached packages:
[1] corrplot_0.84 colorRamps_2.3 flashr_0.5-6 plyr_1.8.4
[5] mclust_5.4 mashr_0.2-6 ashr_2.2-7 limma_3.34.9
loaded via a namespace (and not attached):
[1] Rcpp_0.12.16 pillar_1.2.2 compiler_3.4.4
[4] git2r_0.21.0 workflowr_1.0.1 R.methodsS3_1.7.1
[7] R.utils_2.6.0 iterators_1.0.9 tools_3.4.4
[10] digest_0.6.15 tibble_1.4.2 gtable_0.2.0
[13] evaluate_0.10.1 lattice_0.20-35 rlang_0.2.0
[16] Matrix_1.2-14 foreach_1.4.4 yaml_2.1.19
[19] parallel_3.4.4 mvtnorm_1.0-7 ebnm_0.1-11
[22] stringr_1.3.0 knitr_1.20 REBayes_1.3
[25] rprojroot_1.3-2 grid_3.4.4 rmarkdown_1.9
[28] rmeta_3.0 ggplot2_2.2.1 magrittr_1.5
[31] whisker_0.3-2 scales_0.5.0 backports_1.1.2
[34] codetools_0.2-15 htmltools_0.3.6 MASS_7.3-50
[37] assertthat_0.2.0 softImpute_1.4 colorspace_1.3-2
[40] stringi_1.2.2 Rmosek_8.0.69 lazyeval_0.2.1
[43] munsell_0.4.3 doParallel_1.0.11 pscl_1.5.2
[46] truncnorm_1.0-8 SQUAREM_2017.10-1 R.oo_1.22.0
sessionInfo()
R version 3.4.4 (2018-03-15)
Platform: x86_64-apple-darwin15.6.0 (64-bit)
Running under: macOS High Sierra 10.13.4
Matrix products: default
BLAS: /Library/Frameworks/R.framework/Versions/3.4/Resources/lib/libRblas.0.dylib
LAPACK: /Library/Frameworks/R.framework/Versions/3.4/Resources/lib/libRlapack.dylib
locale:
[1] en_US.UTF-8/en_US.UTF-8/en_US.UTF-8/C/en_US.UTF-8/en_US.UTF-8
attached base packages:
[1] stats graphics grDevices utils datasets methods base
other attached packages:
[1] corrplot_0.84 colorRamps_2.3 flashr_0.5-6 plyr_1.8.4
[5] mclust_5.4 mashr_0.2-6 ashr_2.2-7 limma_3.34.9
loaded via a namespace (and not attached):
[1] Rcpp_0.12.16 pillar_1.2.2 compiler_3.4.4
[4] git2r_0.21.0 workflowr_1.0.1 R.methodsS3_1.7.1
[7] R.utils_2.6.0 iterators_1.0.9 tools_3.4.4
[10] digest_0.6.15 tibble_1.4.2 gtable_0.2.0
[13] evaluate_0.10.1 lattice_0.20-35 rlang_0.2.0
[16] Matrix_1.2-14 foreach_1.4.4 yaml_2.1.19
[19] parallel_3.4.4 mvtnorm_1.0-7 ebnm_0.1-11
[22] stringr_1.3.0 knitr_1.20 REBayes_1.3
[25] rprojroot_1.3-2 grid_3.4.4 rmarkdown_1.9
[28] rmeta_3.0 ggplot2_2.2.1 magrittr_1.5
[31] whisker_0.3-2 scales_0.5.0 backports_1.1.2
[34] codetools_0.2-15 htmltools_0.3.6 MASS_7.3-50
[37] assertthat_0.2.0 softImpute_1.4 colorspace_1.3-2
[40] stringi_1.2.2 Rmosek_8.0.69 lazyeval_0.2.1
[43] munsell_0.4.3 doParallel_1.0.11 pscl_1.5.2
[46] truncnorm_1.0-8 SQUAREM_2017.10-1 R.oo_1.22.0
This reproducible R Markdown analysis was created with workflowr 1.0.1