Last updated: 2018-08-12
workflowr checks: (Click a bullet for more information) ✔ R Markdown file: up-to-date
Great! Since the R Markdown file has been committed to the Git repository, you know the exact version of the code that produced these results.
✔ Environment: empty
Great job! The global environment was empty. Objects defined in the global environment can affect the analysis in your R Markdown file in unknown ways. For reproduciblity it’s best to always run the code in an empty environment.
✔ Seed:
set.seed(20180714)
The command set.seed(20180714) was run prior to running the code in the R Markdown file. Setting a seed ensures that any results that rely on randomness, e.g. subsampling or permutations, are reproducible.
✔ Session information: recorded
Great job! Recording the operating system, R version, and package versions is critical for reproducibility.
✔ Repository version: eaba09b
wflow_publish or wflow_git_commit). workflowr only checks the R Markdown file, but you know if there are other scripts or data files that it depends on. Below is the status of the Git repository when the results were generated:
Ignored files:
Ignored: .DS_Store
Ignored: .Rhistory
Ignored: .Rproj.user/
Ignored: docs/.DS_Store
Ignored: docs/figure/.DS_Store
Untracked files:
Untracked: data/greedy19.rds
Untracked: data/parallel/greedy20niter100.rds
Untracked: data/parallel/svd20niter100.rds
Unstaged changes:
Modified: code/parallel.R
Modified: code/parallel_test.R
Deleted: data/parallel/nfactor20niter40.rds
Note that any generated files, e.g. HTML, png, CSS, etc., are not included in this status report because it is ok for generated content to have uncommitted changes.
| File | Version | Author | Date | Message |
|---|---|---|---|---|
| Rmd | eaba09b | Jason Willwerscheid | 2018-08-12 | wflow_publish(c(“analysis/index.Rmd”, “analysis/parallel.Rmd”)) |
At present, backfitting is done serially. That is, factor 1 is updated using the current residuals, then factor 2 is updated using the new values of factor 1 to calculate residuals, and so on.
Here I implement parallel updates, where all factors are updated using the same residuals. Parallelization could provide a significant speedup, but the objective is no longer guaranteed to increase after each iteration.
For the code used in this investigation, see below.
I carry out two experiments, using the same GTEx dataset that I use here. The first experiment adds 20 factors to a flash object using flash_add_greedy and then backfits for 100 iterations. The second adds 20 factors using flash_add_factors_from_data (with init_fn = udv_svd) and then backfits (again, for 100 iterations).
In each case, I use three methods to backfit:
The standard method implemented in flash_backfit, which serially updates each factor by calling flash_update_single_fl.
A “parallelized” method that peforms simultaneous updates via lapply.
A multi-core method that performs simultaneous updates using function mclapply in package parallel (I am using 4 cores).
I compare objectives attained after each update and time required to carry out each update.
I pre-run the experiments and load the results from file.
res_greedy <- readRDS("./data/parallel/greedy20niter100.rds")
res_svd <- readRDS("./data/parallel/svd20niter100.rds")
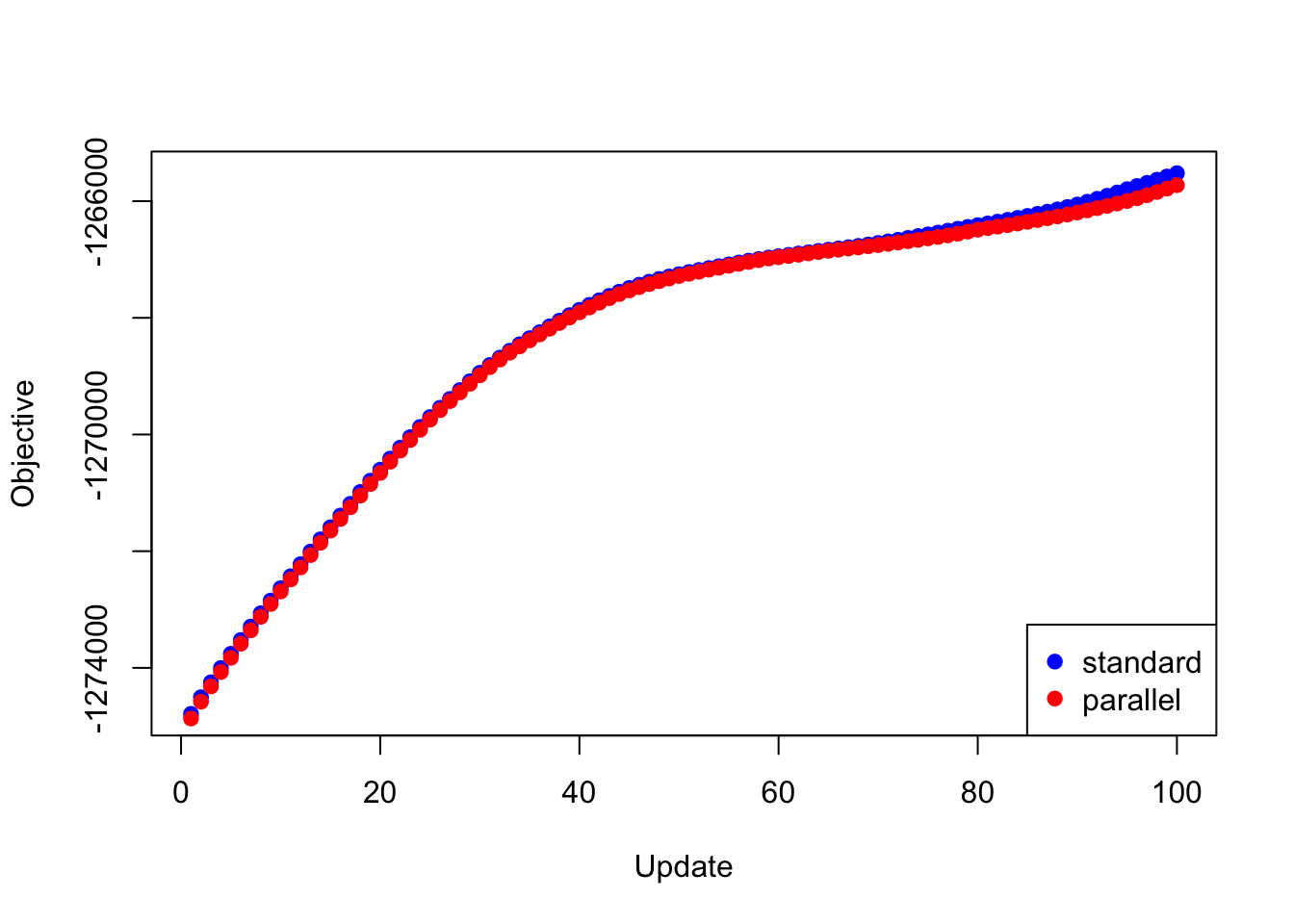
First I give results for backfitting the 20 factors obtained using flash_add_greedy.
The objectives attained using each backfitting method are very similar (the objectives for the lapply and mclapply methods are of course identical, so I only give “standard” and “parallel” results below):
plot(res_greedy$backfit_obj, pch=19, col="blue",
xlim=c(1, 100), xlab="Update", ylab="Objective")
points(res_greedy$parallel_obj, pch=19, col="red")
legend("bottomright", legend=c("standard", "parallel"),
pch=c(19, 19), col=c("blue", "red"))

Plotting the same results as the difference in objective attained (i.e., the improvement in the objective if one uses the standard method rather than a parallel method):
y <- res_greedy$backfit_obj - res_greedy$parallel_obj
plot(1:length(y), y, type="l", xlim=c(1, 100), ylim=c(0, max(y)),
xlab="Update", ylab="Difference")

The time required for each update is as follows. Interestingly, simply using lapply achieves a minor speedup. Using a multi-core approach cuts the time required to backfit in half.
data <- data.frame(standard = res_greedy$backfit_t,
lapply = res_greedy$parallel_t,
mclapply = res_greedy$multicore_t)
boxplot(data, ylim=c(0, max(data)), ylab="Time per iter (s)")

The total time required (in seconds) is:
colSums(data)
standard lapply mclapply
877.827 704.547 494.516
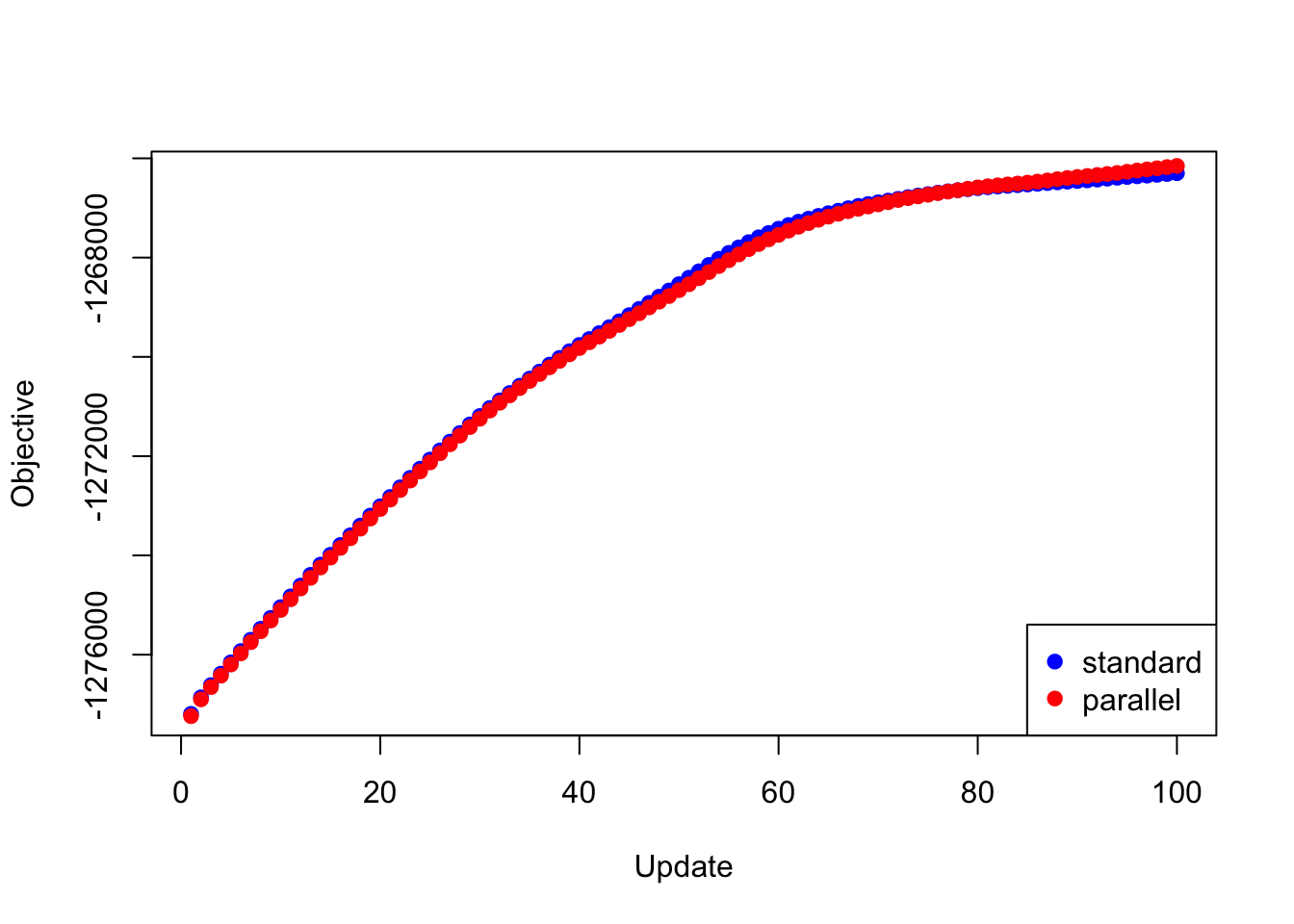
Next I give results for the 20 factors obtained using flash_add_factors_from_data. In this case, the parallel updates attain a better objective than the standard updates after 80 iterations or so:
plot(res_svd$backfit_obj, pch=19, col="blue",
xlim=c(1, 100), xlab="Update", ylab="Objective")
points(res_svd$parallel_obj, pch=19, col="red")
legend("bottomright", legend=c("standard", "parallel"),
pch=c(19, 19), col=c("blue", "red"))

y <- res_svd$backfit_obj - res_svd$parallel_obj
plot(1:length(y), y, type="l", xlim=c(1, 100), ylim=c(min(y), max(y)),
xlab="Update", ylab="Difference")

data <- data.frame(standard = res_svd$backfit_t,
lapply = res_svd$parallel_t,
mclapply = res_svd$multicore_t)
boxplot(data, ylim=c(0, max(data)), ylab="Time per iter (s)")

The total time required (in seconds) is:
colSums(data)
standard lapply mclapply
983.967 754.552 398.323
…for the parallel updates…
flash_update_fl_parallel = function(data,
f,
kset,
var_type,
ebnm_fn_l,
ebnm_param_l,
ebnm_fn_f,
ebnm_param_f,
parallel_fn) {
f = flash_update_precision(data, f, var_type)
f = flash_update_loadings_parallel(data,
f,
kset,
ebnm_fn_l,
ebnm_param_l,
parallel_fn)
f = flash_update_factors_parallel(data,
f,
kset,
ebnm_fn_f,
ebnm_param_f,
parallel_fn)
}
flash_update_loadings_parallel = function(data,
f,
kset,
ebnm_fn,
ebnm_param,
parallel_fn) {
R = flash_get_R(data, f)
subset = !f$fixl
update_fn = function(k) {
Rk = R + outer(f$EL[, k], f$EF[, k])
calc_update_vals(data,
f,
k,
which(subset[, k]),
ebnm_fn[[k]],
ebnm_param[[k]],
loadings = TRUE,
Rk)
}
res = parallel_fn(as.list(kset), update_fn)
# Deal with "failed" updates:
null_idx = which(sapply(res, is.null))
if (length(null_idx) > 0) {
res = res[-null_idx]
kset = kset[-null_idx]
}
subset[, -kset] = FALSE
f$EL[subset] = unlist(lapply(res, function(k) {k$EX}))
f$EL2[subset] = unlist(lapply(res, function(k) {k$EX2}))
f$ebnm_fn_l[kset] = ebnm_fn[kset]
f$ebnm_param_l[kset] = ebnm_param[kset]
f$gl[kset] = lapply(res, function(k) {k$g})
f$KL_l[kset] = lapply(res, function(k) {k$KL})
return(f)
}
flash_update_factors_parallel = function(data,
f,
kset,
ebnm_fn,
ebnm_param,
parallel_fn) {
R = flash_get_R(data, f)
subset = !f$fixf
update_fn = function(k) {
Rk = R + outer(f$EL[, k], f$EF[, k])
calc_update_vals(data,
f,
k,
which(subset[, k]),
ebnm_fn[[k]],
ebnm_param[[k]],
loadings = FALSE,
Rk)
}
res = parallel_fn(as.list(kset), update_fn)
# Deal with "failed" updates:
null_idx = which(sapply(res, is.null))
if (length(null_idx) > 0) {
res = res[-null_idx]
kset = kset[-null_idx]
}
subset[, -kset] = FALSE
f$EF[subset] = unlist(lapply(res, function(k) {k$EX}))
f$EF2[subset] = unlist(lapply(res, function(k) {k$EX2}))
f$ebnm_fn_f[kset] = ebnm_fn[kset]
f$ebnm_param_f[kset] = ebnm_param[kset]
f$gf[kset] = lapply(res, function(k) {k$g})
f$KL_f[kset] = lapply(res, function(k) {k$KL})
return(f)
}
…and for the experiments.
# devtools::install_github("stephenslab/flashr")
devtools::load_all("/Users/willwerscheid/GitHub/flashr/")
# devtools::install_github("stephenslab/ebnm")
devtools::load_all("/Users/willwerscheid/GitHub/ebnm/")
library(parallel)
source("./code/parallel.R")
gtex <- readRDS(gzcon(url("https://github.com/stephenslab/gtexresults/blob/master/data/MatrixEQTLSumStats.Portable.Z.rds?raw=TRUE")))
strong <- t(gtex$strong.z)
strong_data <- flash_set_data(strong, S = 1)
run_test <- function(fl_init, niter) {
nfactors <- flash_get_k(fl_init)
message("Usual backfit...")
fl <- fl_init
backfit_t <- rep(0, niter)
backfit_obj <- rep(0, niter)
for (i in 1:niter) {
message(" Iteration ", i)
t <- system.time(
for (k in 1:nfactors) {
fl <- flashr:::flash_update_single_fl(strong_data,
fl,
k,
"zero",
"ebnm_pn", list(),
"ebnm_pn", list())
}
)
backfit_t[i] <- t[3] # elapsed time
backfit_obj[i] <- flash_get_objective(strong_data, fl)
}
message("Parallel updates with lapply...")
fl <- fl_init
parallel_t <- rep(0, niter)
parallel_obj <- rep(0, niter)
ebnm_param <- vector("list", nfactors)
for (k in 1:nfactors) {ebnm_param[[k]] <- list()}
for (i in 1:niter) {
message(" Iteration ", i)
t <- system.time(
fl <- flash_update_fl_parallel(strong_data,
fl,
1:nfactors,
"zero",
as.list(rep("ebnm_pn", nfactors)),
ebnm_param,
as.list(rep("ebnm_pn", nfactors)),
ebnm_param,
lapply)
)
parallel_t[i] <- t[3]
parallel_obj[i] <- flash_get_objective(strong_data, fl)
}
message("Parallel updates with mclapply...")
fl <- fl_init
multicore_t <- rep(0, niter)
for (i in 1:niter) {
message(" Iteration ", i)
t <- system.time(
fl <- flash_update_fl_parallel(strong_data,
fl,
1:nfactors,
"zero",
as.list(rep("ebnm_pn", nfactors)),
ebnm_param,
as.list(rep("ebnm_pn", nfactors)),
ebnm_param,
mclapply)
)
multicore_t[i] <- t[3]
}
res <- list(backfit_t = backfit_t,
parallel_t = parallel_t,
multicore_t = multicore_t,
backfit_obj = backfit_obj,
parallel_obj = parallel_obj)
}
fl_greedy <- flash_add_greedy(strong_data, 20, var_type = "zero")
res_greedy <- run_test(fl_greedy, 100)
saveRDS(res_greedy, "./data/parallel/greedy20niter100.rds")
fl_svd <- flash_add_factors_from_data(strong_data, 20, init_fn = "udv_svd")
res_svd <- run_test(fl_svd, 100)
saveRDS(res_svd, "./data/parallel/svd20niter100.rds")
sessionInfo()
R version 3.4.3 (2017-11-30)
Platform: x86_64-apple-darwin15.6.0 (64-bit)
Running under: macOS High Sierra 10.13.6
Matrix products: default
BLAS: /Library/Frameworks/R.framework/Versions/3.4/Resources/lib/libRblas.0.dylib
LAPACK: /Library/Frameworks/R.framework/Versions/3.4/Resources/lib/libRlapack.dylib
locale:
[1] en_US.UTF-8/en_US.UTF-8/en_US.UTF-8/C/en_US.UTF-8/en_US.UTF-8
attached base packages:
[1] stats graphics grDevices utils datasets methods base
loaded via a namespace (and not attached):
[1] workflowr_1.0.1 Rcpp_0.12.17 digest_0.6.15
[4] rprojroot_1.3-2 R.methodsS3_1.7.1 backports_1.1.2
[7] git2r_0.21.0 magrittr_1.5 evaluate_0.10.1
[10] stringi_1.1.6 whisker_0.3-2 R.oo_1.21.0
[13] R.utils_2.6.0 rmarkdown_1.8 tools_3.4.3
[16] stringr_1.3.0 yaml_2.1.17 compiler_3.4.3
[19] htmltools_0.3.6 knitr_1.20
This reproducible R Markdown analysis was created with workflowr 1.0.1