Last updated: 2019-01-11
workflowr checks: (Click a bullet for more information) ✔ R Markdown file: up-to-date
Great! Since the R Markdown file has been committed to the Git repository, you know the exact version of the code that produced these results.
✔ Environment: empty
Great job! The global environment was empty. Objects defined in the global environment can affect the analysis in your R Markdown file in unknown ways. For reproduciblity it’s best to always run the code in an empty environment.
✔ Seed:
set.seed(20180714)
The command set.seed(20180714) was run prior to running the code in the R Markdown file. Setting a seed ensures that any results that rely on randomness, e.g. subsampling or permutations, are reproducible.
✔ Session information: recorded
Great job! Recording the operating system, R version, and package versions is critical for reproducibility.
✔ Repository version: 3e8d54a
wflow_publish or wflow_git_commit). workflowr only checks the R Markdown file, but you know if there are other scripts or data files that it depends on. Below is the status of the Git repository when the results were generated:
Ignored files:
Ignored: .DS_Store
Ignored: .Rhistory
Ignored: .Rproj.user/
Ignored: analysis/figure/
Ignored: docs/.DS_Store
Ignored: docs/figure/.DS_Store
Untracked files:
Untracked: analysis/flashier_bench.Rmd
Untracked: analysis/gd_notes.Rmd
Note that any generated files, e.g. HTML, png, CSS, etc., are not included in this status report because it is ok for generated content to have uncommitted changes.
| File | Version | Author | Date | Message |
|---|---|---|---|---|
| Rmd | 3e8d54a | Jason Willwerscheid | 2019-01-11 | workflowr::wflow_publish(“analysis/brain.Rmd”) |
TODO: describe data here.
for preprocessing GTEx data and fitting flash objects to the brain subtensor…
# Download GTEx data from GTEx Portal and load into R using Peter's code ------
samples.file <- "https://storage.googleapis.com/gtex_analysis_v7/annotations/GTEx_v7_Annotations_SampleAttributesDS.txt"
read.counts.file <- "~/Downloads/GTEx_Analysis_2016-01-15_v7_RNASeQCv1.1.8_gene_reads.gct.gz"
source("https://raw.githubusercontent.com/stephenslab/topics/master/code/gtex.R?token=AWTMG_VIxH9P52pyv6O3a3tRQEFn0F9Zks5cN431wA%3D%3D")
gtex <- read.gtex.data(samples.file, read.counts.file)
# Pre-process the data as described in Wang, Fischer, and Song (2017) ---------
# "Normalization was performed using the size factors produced by the
# estimateSizeFactors function of DESeq2."
# Calculate the (logged) geometric means of the counts for each gene.
gene.geom.means <- apply(gtex$counts, 2, function(x) {
if (all(x == 0)) {-Inf} else {sum(log(x[x > 0])) / length(x)}
})
# Take the median of the normalized counts for each sample:
size.factors <- apply(gtex$counts, 1, function(x) {
exp(median((log(x) - gene.geom.means)[x > 0]))
})
# Normalize the samples:
gtex$counts <- apply(gtex$counts, 2, `/`, size.factors)
# "We required at least 15 samples to include a given tissue and an average of
# at least 500 normalized reads in one or more tissues to retain a gene."
tissues.to.include <- names(which(table(gtex$samples$specific) > 14))
samples.to.retain <- samples$specific %in% tissues.to.include
gtex$counts <- gtex$counts[samples.to.retain, ]
gtex$samples <- gtex$samples[samples.to.retain, ]
gene.max.avg.reads <- apply(gtex$counts, 2, function(x) {
max(aggregate(x, by = list(gtex$samples$specific), FUN = mean)$x)
})
genes.to.retain <- gene.max.avg.reads > 500
gtex$counts <- gtex$counts[, genes.to.retain]
# Log-transform data:
gtex$counts <- log1p(gtex$counts)
# Convert the data from a matrix to a tissue x individual x gene array --------
individual <- as.factor(sapply(strsplit(rownames(gtex$counts), "-"), function(x) {
paste(x[1:2], collapse = "-")
}))
gtex.df <- data.frame(individual = individual,
tissue = droplevels(gtex$samples$specific))
gtex.df <- cbind(gtex.df, gtex$counts)
gtex <- reshape2::melt(gtex.df)
colnames(gtex)[3] <- "gene"
rm(gtex.df)
gtex <- reshape2::acast(gtex, tissue ~ individual ~ gene)
# object size: 4.6 Gb (a 49 x 714 x 17792 array)
saveRDS(gtex, "~/Downloads/gtex_v7_array.rds") # temporary
# Create smaller array using only brain tissues -------------------------------
brain.tissues <- which(substr(dimnames(gtex)[[1]], 1, 5) == "brain")
brain <- gtex[brain.tissues, , ]
# Remove individuals with no brains:
brain <- brain[, apply(brain, 2, function(x) sum(!is.na(x))) > 0, ]
# object size: 450 Mb (a 13 x 254 x 17792 array)
saveRDS(brain, "~/Downloads/gtex_v7_brain.rds") # temporary
# Fit flash object ------------------------------------------------------------
devtools::load_all("~/Github/ashr")
devtools::load_all("~/Github/flashier")
devtools::load_all("~/Github/ebnm")
brain <- set.flash.data(brain) # object size: 675 Mb
brain.flash <- flashier(brain,
var.type = 3,
prior.type = c("nonnegative", "nonzero.mode", "normal.mix"),
conv.crit.fn = function(new, old, k) {
flashier:::calc.max.abs.chg.EF(new, old, k, n = 1)
},
greedy.Kmax = 10,
greedy.tol = 5e-4,
backfit.after = 2,
backfit.every = 1,
inner.backfit.maxiter = 1,
ash.param = list(optmethod = "mixSQP"),
nonmissing.thresh = c(0, 0.05, 0),
verbose = "O L1 E2")
saveRDS(brain.flash, "~/Downloads/brain_flash.rds") # temporary
brain.flash <- flashier(brain,
flash.init = brain.flash,
backfit = "only",
backfit.order = "dropout",
conv.crit.fn = function(new, old, k) {
flashier:::calc.max.abs.chg.EF(new, old, k, n = 1)
},
backfit.tol = 5e-4,
verbose = "O L1 E2")
saveRDS(brain.flash, "~/Downloads/brain_flash_bf.rds") # temporary
# Remove large fields from flash object.
brain.flash$fit$Y <- NULL
brain.flash$fit$Z <- NULL
brain.flash$sampler <- NULL
saveRDS(brain.flash, "./data/brain/brain05.rds")
# Other "brain" objects were created using a different nonmissing.thresh.
# Create data frame containing demographics and technical factors -------------
phenotypes <- readRDS("~/Downloads/GTEx_v7_Subjects.rds")
class(phenotypes) <- "data.frame"
rownames(phenotypes) <- phenotypes$SUBJID
phenotypes <- phenotypes[, -1]
# Get subset corresponding to individuals with brains.
phenotypes <- phenotypes[rownames(brain.flash$loadings$normalized.loadings[[2]]), ]
# Remove COHORT because they're all postmortem.
phenotypes <- phenotypes[, -1]
# Remove ETHNCTY because there are no hispanics.
phenotypes <- phenotypes[, -4]
samples <- readr::read_delim("https://storage.googleapis.com/gtex_analysis_v7/annotations/GTEx_v7_Annotations_SampleAttributesDS.txt",
delim = "\t")
samples <- samples[, c("SAMPID", "SMGEBTCHD")]
# Extract individuals from sample IDs.
samples$SAMPID <- sapply(lapply(strsplit(samples$SAMPID, "-"), `[`, 1:2),
paste, collapse = "-")
# Convert sequencing date to number of days after first sequencing date.
samples$SMGEBTCHD <- as.numeric(as.POSIXct(samples$SMGEBTCHD, format = "%m/%d/%Y"))
samples$SMGEBTCHD <- samples$SMGEBTCHD - min(samples$SMGEBTCHD, na.rm = TRUE)
samples$SMGEBTCHD <- samples$SMGEBTCHD / (60 * 60 * 24)
SEQDATE <- aggregate(SMGEBTCHD ~ SAMPID, data = samples,
FUN = mean, na.rm = TRUE)
rownames(SEQDATE) <- SEQDATE$SAMPID
SEQDATE <- SEQDATE[, 2, drop = FALSE]
SEQDATE <- SEQDATE[rownames(brain.flash$loadings$normalized.loadings[[2]]), ]
all.covar <- cbind(phenotypes, SEQDATE)
# Do not upload to GitHub (data includes protected attributes)!
saveRDS(all.covar, "~/Downloads/GTEx_v7_brain_covar.rds")
…and for producing the plots and tables below.
# Flip signs so that individual loadings are mostly postive -------------------
align.data <- function(brain) {
for (k in 1:brain$n.factors) {
if (mean(brain$loadings$normalized.loadings[[2]][, k]) < 0) {
brain$loadings$normalized.loadings[[2]][, k] <- -1 *
brain$loadings$normalized.loadings[[2]][, k]
brain$loadings$normalized.loadings[[3]][, k] <- -1 *
brain$loadings$normalized.loadings[[3]][, k]
}
}
return(brain)
}
# Barplots --------------------------------------------------------------------
do.plots <- function(brain, k, incl.gene.plot = TRUE, fix.ind.ylim = FALSE) {
brain.colors <- c("hotpink", "gray40", "green3", "blue1", "blue3",
"gray20", "black", "lightpink", "red1", "green4",
"green1", "red4", "red3")
tissue.idx <- order(brain$loadings$normalized.loadings[[1]][, k],
decreasing = TRUE)
barplot(brain$loadings$normalized.loadings[[1]][tissue.idx, k],
col = brain.colors[tissue.idx],
axisnames = FALSE,
xlab = "Tissues")
if (incl.gene.plot) {
barplot(sort(brain$loadings$normalized.loadings[[3]][, k],
decreasing = TRUE),
axisnames = FALSE,
xlab = "Genes",
main = paste0("Factor ", k, ": ",
100 * round(brain$pve[k], 4), "% PVE"))
}
vals <- brain$loadings$normalized.loadings[[2]][, k]
exclusions <- brain$fit$exclusions[[k]][[2]]
if (length(exclusions) > 0)
vals <- vals[-exclusions]
ylim <- NULL
if (fix.ind.ylim)
ylim <- c(-0.15, 0.25)
barplot(sort(vals, decreasing = TRUE),
axisnames = FALSE,
xlab = "Individuals",
ylim = ylim)
}
all.plots <- function(brain) {
par(mfrow = c(2, 3))
for (k in order(brain$pve, decreasing = TRUE)) {
do.plots(brain, k)
}
}
all.plots.comparison <- function(brain1, brain2) {
par(mfrow = c(2, 4))
for (k in 1:brain1$n.factors) {
do.plots(brain1, k, incl.gene.plot = FALSE, fix.ind.ylim = TRUE)
do.plots(brain2, k, incl.gene.plot = FALSE, fix.ind.ylim = TRUE)
}
}
# Top tissues and genes -------------------------------------------------------
get.top.tissues <- function(brain, k) {
tissue.names <- c("amygdala", "ac cortex", "caudate bg",
"cerebral hemisphere", "cerebellum",
"cortex", "fr cortex", "hippocampus",
"hypothalamus", "nuc acc bg", "putamen bg",
"spinal cord", "substantia nigra")
loadings <- round(brain$loadings$normalized.loadings[[1]][, k], 2)
tissue.labels <- paste0(tissue.names, " (", loadings, ")")
n.tissues <- sum(loadings > 0.1)
if (n.tissues > 6)
return("most tissues")
tissue.idx <- order(loadings, decreasing = TRUE)[1:n.tissues]
return(paste(tissue.labels[tissue.idx], collapse = ", "))
}
get.top.go <- function(brain, k, n.loadings = 200) {
loadings <- brain$loadings$normalized.loadings[[3]][, k]
names(loadings) <- sapply(strsplit(names(loadings), ".", fixed = TRUE),
`[`, 1)
overexpressed <- names(sort(loadings, decreasing = TRUE)[1:n.loadings])
cp.res <- clusterProfiler::enrichGO(overexpressed, "org.Hs.eg.db",
ont = "BP", keyType = "ENSEMBL",
universe = names(loadings),
minGSSize = 10)
over <- paste(head(cp.res, 3)$Description, collapse = ", ")
if (k == 1) {
under <- NA
} else {
underexpressed <- names(sort(loadings, decreasing = FALSE)[1:n.loadings])
cp.res2 <- clusterProfiler::enrichGO(underexpressed, "org.Hs.eg.db",
ont = "BP", keyType = "ENSEMBL",
universe = names(loadings),
minGSSize = 10)
under <- paste(head(cp.res2, 3)$Description, collapse = ", ")
}
list(over = over, under = under)
}
# Regression on demographic and technical variables ---------------------------
do.regression <- function(brain, covar, k) {
excl <- brain$fit$exclusions[[k]][[2]]
loadings <- brain$loadings$normalized.loadings[[2]][, k]
if (length(excl) > 0) {
covar <- covar[-excl, ]
loadings <- loadings[-excl]
}
df <- cbind(covar, loadings = loadings)
mod <- lm(loadings ~ ., data = df)
p.vals <- round(coefficients(summary(mod))[-1, 4], 3)
sex.col <- which(substr(names(p.vals), 1, 1) == "S")
age.col <- which(substr(names(p.vals), 1, 1) == "A")
race.col <- which(substr(names(p.vals), 1, 1) == "R")
tech.col <- (1:length(p.vals))[-c(sex.col, age.col, race.col)]
mod.anova <- anova(mod)
resid.ss <- mod.anova$`Sum Sq`[8]
sex.pve <- mod.anova$`Sum Sq`[1] / resid.ss
age.pve <- mod.anova$`Sum Sq`[2] / resid.ss
race.pve <- mod.anova$`Sum Sq`[3] / resid.ss
tech.pve <- sum(mod.anova$`Sum Sq`[4:7]) / resid.ss
sex.res <- paste0("PVE: ", 100 * round(sex.pve, 4), "% (p: ",
paste(p.vals[sex.col], collapse = ", "), ")")
age.res <- paste0("PVE: ", 100 * round(age.pve, 4), "% (p: ",
paste(p.vals[age.col], collapse = ", "), ")")
race.res <- paste0("PVE: ", 100 * round(race.pve, 4), "% (p: ",
paste(p.vals[race.col], collapse = ", "), ")")
tech.res <- paste0("PVE: ", 100 * round(tech.pve, 4), "% (p: ",
paste(p.vals[tech.col], collapse = ", "), ")")
return(list(sex = sex.res, age = age.res, race = race.res, tech = tech.res))
}
# Table of results ------------------------------------------------------------
do.table <- function(brain, covar, k) {
top.go <- get.top.go(brain, k)
regress.res <- do.regression(brain, covar, k)
tabl <- rbind(c("PVE: ", paste0(100 * round(brain$pve[k], 4), "%")),
c("top tissues: ", get.top.tissues(brain, k)),
c("overexpressed: ", top.go$over),
c("underexpressed: ", top.go$under),
c("age effect: ", regress.res$age),
c("sex effect: ", regress.res$sex),
c("race effect: ", regress.res$race),
c("technical factors:", regress.res$tech))
return(tabl)
}
all.tables <- function(brain, covar) {
cat("\n")
for (k in order(brain$pve, decreasing = TRUE)) {
print(knitr::kable(do.table(brain, covar, k),
caption = paste("Factor", k)))
cat("\n")
}
}
At first, results look good. Different factors clearly correspond to different types of brain tissue. But there are problems….
brain00 <- readRDS("./data/brain/brain00.rds")
brain00 <- align.data(brain00)
all.plots(brain00)





Results look better.
brain05 <- readRDS("./data/brain/brain05.rds")
brain05 <- align.data(brain05)
brain001 <- readRDS("./data/brain/brain001.rds")
brain001 <- align.data(brain001)
all.plots(brain05)





Note, in particular, the large differences from the paper in proportions of variance explained by demographic effects.
covar <- readRDS("~/Downloads/GTEx_v7_brain_covar.rds")
all.tables(brain05, covar)
#>
#> Loading required package: org.Hs.eg.db
#> Loading required package: AnnotationDbi
#> Loading required package: stats4
#> Loading required package: BiocGenerics
#> Loading required package: parallel
#>
#> Attaching package: 'BiocGenerics'
#> The following objects are masked from 'package:parallel':
#>
#> clusterApply, clusterApplyLB, clusterCall, clusterEvalQ,
#> clusterExport, clusterMap, parApply, parCapply, parLapply,
#> parLapplyLB, parRapply, parSapply, parSapplyLB
#> The following objects are masked from 'package:stats':
#>
#> IQR, mad, sd, var, xtabs
#> The following objects are masked from 'package:base':
#>
#> anyDuplicated, append, as.data.frame, cbind, colMeans,
#> colnames, colSums, do.call, duplicated, eval, evalq, Filter,
#> Find, get, grep, grepl, intersect, is.unsorted, lapply,
#> lengths, Map, mapply, match, mget, order, paste, pmax,
#> pmax.int, pmin, pmin.int, Position, rank, rbind, Reduce,
#> rowMeans, rownames, rowSums, sapply, setdiff, sort, table,
#> tapply, union, unique, unsplit, which, which.max, which.min
#> Loading required package: Biobase
#> Welcome to Bioconductor
#>
#> Vignettes contain introductory material; view with
#> 'browseVignettes()'. To cite Bioconductor, see
#> 'citation("Biobase")', and for packages 'citation("pkgname")'.
#> Loading required package: IRanges
#> Loading required package: S4Vectors
#>
#> Attaching package: 'S4Vectors'
#> The following object is masked from 'package:base':
#>
#> expand.grid
#>
| PVE: | 98.77% |
| top tissues: | most tissues |
| overexpressed: | SRP-dependent cotranslational protein targeting to membrane, establishment of protein localization to membrane, cotranslational protein targeting to membrane |
| underexpressed: | NA |
| age effect: | PVE: 2.54% (p: 0.008) |
| sex effect: | PVE: 1.24% (p: 0.25, 0.153) |
| race effect: | PVE: 2.69% (p: 0.041, 0.03, 0.095) |
| technical factors: | PVE: 4.27% (p: 0.022, 0.432, 0.405) |
| PVE: | 0.44% |
| top tissues: | cerebral hemisphere (0.74), cerebellum (0.67) |
| overexpressed: | |
| underexpressed: | telencephalon development, forebrain development, forebrain generation of neurons |
| age effect: | PVE: 0.14% (p: 0.887) |
| sex effect: | PVE: 2.62% (p: 0.111, 0.653) |
| race effect: | PVE: 0.38% (p: 0.581, 0.634) |
| technical factors: | PVE: 7.4% (p: 0.224, 0.776, 0.74) |
| PVE: | 0.19% |
| top tissues: | spinal cord (0.81), substantia nigra (0.41), hypothalamus (0.31), hippocampus (0.19), putamen bg (0.13) |
| overexpressed: | skeletal system development, embryonic skeletal system development, anterior/posterior pattern specification |
| underexpressed: | telencephalon development, regulation of neurotransmitter levels, neurotransmitter transport |
| age effect: | PVE: 1.11% (p: 0.27) |
| sex effect: | PVE: 2.22% (p: 0.116, 0.424) |
| race effect: | PVE: 0.11% (p: 0.638, 0.536) |
| technical factors: | PVE: 6.32% (p: 0.503, 0.09, 0.036) |
| PVE: | 0.11% |
| top tissues: | fr cortex (0.65), cortex (0.54), ac cortex (0.46), hippocampus (0.22), amygdala (0.12) |
| overexpressed: | potassium ion transport, fear response, regulation of membrane potential |
| underexpressed: | sensory perception, pattern specification process, nephron tubule development |
| age effect: | PVE: 6.05% (p: 0.001) |
| sex effect: | PVE: 2.59% (p: 0.016, 0.006) |
| race effect: | PVE: 0.18% (p: 0.964, 0.854) |
| technical factors: | PVE: 5.13% (p: 0.409, 0.064, 0.055) |
| PVE: | 0.06% |
| top tissues: | nuc acc bg (0.66), caudate bg (0.57), putamen bg (0.46), spinal cord (0.13) |
| overexpressed: | behavior, associative learning, learning or memory |
| underexpressed: | forebrain development, cyclic-nucleotide-mediated signaling, second-messenger-mediated signaling |
| age effect: | PVE: 0.05% (p: 0.769) |
| sex effect: | PVE: 0.37% (p: 0.507, 0.638) |
| race effect: | PVE: 0.7% (p: 0.758, 0.833, 0.577) |
| technical factors: | PVE: 3.83% (p: 0.097, 0.148, 0.112) |
| PVE: | 0.04% |
| top tissues: | hypothalamus (0.96), substantia nigra (0.21), nuc acc bg (0.17) |
| overexpressed: | behavior, signal release, neuropeptide signaling pathway |
| underexpressed: | ensheathment of neurons, axon ensheathment, myelination |
| age effect: | PVE: 0.26% (p: 0.728) |
| sex effect: | PVE: 0.21% (p: 0.757, 0.042) |
| race effect: | PVE: 0.29% (p: 0.658, 0.567) |
| technical factors: | PVE: 4.71% (p: 0.617, 0.338, 0.273) |
| PVE: | 0.04% |
| top tissues: | most tissues |
| overexpressed: | bicarbonate transport, neutrophil chemotaxis, leukocyte migration |
| underexpressed: | neurotransmitter transport, modulation of chemical synaptic transmission, synaptic vesicle cycle |
| age effect: | PVE: 8.52% (p: 0.001) |
| sex effect: | PVE: 0.17% (p: 0.378, 0.021) |
| race effect: | PVE: 2.45% (p: 0.971, 0.882, 0.1) |
| technical factors: | PVE: 3.34% (p: 0.519, 0.708, 0.559) |
| PVE: | 0.03% |
| top tissues: | most tissues |
| overexpressed: | positive regulation of response to external stimulus, regulation of receptor activity, L-glutamate transport |
| underexpressed: | cell-matrix adhesion |
| age effect: | PVE: 3.8% (p: 0.012) |
| sex effect: | PVE: 0.39% (p: 0.556, 0.967) |
| race effect: | PVE: 0.46% (p: 0.765, 0.621, 0.794) |
| technical factors: | PVE: 9.59% (p: 0.287, 0.137, 0.035) |
| PVE: | 0.03% |
| top tissues: | most tissues |
| overexpressed: | regulation of receptor activity |
| underexpressed: | neutrophil activation, granulocyte activation, neutrophil mediated immunity |
| age effect: | PVE: 0.37% (p: 0.117) |
| sex effect: | PVE: 2.95% (p: 0.064, 0) |
| race effect: | PVE: 2.2% (p: 0.297, 0.143, 0.46) |
| technical factors: | PVE: 25.21% (p: 0.619, 0.12, 0.058) |
| PVE: | 0.02% |
| top tissues: | most tissues |
| overexpressed: | response to lipopolysaccharide, regulation of angiogenesis, response to molecule of bacterial origin |
| underexpressed: | |
| age effect: | PVE: 6.66% (p: 0) |
| sex effect: | PVE: 0.16% (p: 0.544, 0.203) |
| race effect: | PVE: 0.57% (p: 0.917, 0.911, 0.441) |
| technical factors: | PVE: 2.92% (p: 0.028, 0.937, 0.972) |
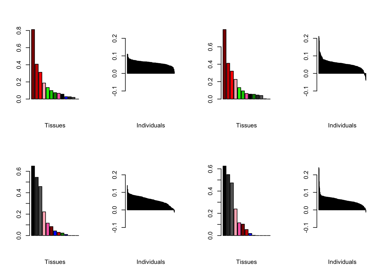
Below are plots of loadings with the nonmissingness threshold set at .05 (left) and .001 (right).
all.plots.comparison(brain05, brain001)





sessionInfo()
#> R version 3.4.3 (2017-11-30)
#> Platform: x86_64-apple-darwin15.6.0 (64-bit)
#> Running under: macOS High Sierra 10.13.6
#>
#> Matrix products: default
#> BLAS: /Library/Frameworks/R.framework/Versions/3.4/Resources/lib/libRblas.0.dylib
#> LAPACK: /Library/Frameworks/R.framework/Versions/3.4/Resources/lib/libRlapack.dylib
#>
#> locale:
#> [1] en_US.UTF-8/en_US.UTF-8/en_US.UTF-8/C/en_US.UTF-8/en_US.UTF-8
#>
#> attached base packages:
#> [1] parallel stats4 stats graphics grDevices utils datasets
#> [8] methods base
#>
#> other attached packages:
#> [1] org.Hs.eg.db_3.5.0 AnnotationDbi_1.40.0 IRanges_2.12.0
#> [4] S4Vectors_0.16.0 Biobase_2.38.0 BiocGenerics_0.24.0
#>
#> loaded via a namespace (and not attached):
#> [1] qvalue_2.10.0 clusterProfiler_3.6.0 fgsea_1.4.1
#> [4] xfun_0.4 purrr_0.2.4 reshape2_1.4.3
#> [7] splines_3.4.3 colorspace_1.3-2 htmltools_0.3.6
#> [10] yaml_2.2.0 blob_1.1.0 rlang_0.3.0.1
#> [13] R.oo_1.21.0 pillar_1.2.1 glue_1.3.0
#> [16] DBI_0.7 R.utils_2.6.0 BiocParallel_1.12.0
#> [19] bit64_0.9-7 bindrcpp_0.2 rvcheck_0.1.3
#> [22] plyr_1.8.4 bindr_0.1 stringr_1.3.1
#> [25] munsell_0.5.0 GOSemSim_2.4.1 gtable_0.2.0
#> [28] workflowr_1.0.1 flashier_0.1.0 R.methodsS3_1.7.1
#> [31] memoise_1.1.0 evaluate_0.12 knitr_1.20.22
#> [34] highr_0.7 Rcpp_1.0.0 backports_1.1.2
#> [37] scales_1.0.0 DO.db_2.9 bit_1.1-12
#> [40] gridExtra_2.3 fastmatch_1.1-0 ggplot2_3.1.0
#> [43] digest_0.6.18 stringi_1.2.4 dplyr_0.7.4
#> [46] rprojroot_1.3-2 grid_3.4.3 DOSE_3.4.0
#> [49] tools_3.4.3 magrittr_1.5 lazyeval_0.2.1
#> [52] tibble_1.4.2 RSQLite_2.0 tidyr_0.7.2
#> [55] whisker_0.3-2 GO.db_3.5.0 pkgconfig_2.0.1
#> [58] data.table_1.10.4-3 assertthat_0.2.0 rmarkdown_1.10
#> [61] R6_2.3.0 igraph_1.1.2 git2r_0.21.0
#> [64] compiler_3.4.3
This reproducible R Markdown analysis was created with workflowr 1.0.1