Last updated: 2018-11-11
workflowr checks: (Click a bullet for more information) ✔ R Markdown file: up-to-date
Great! Since the R Markdown file has been committed to the Git repository, you know the exact version of the code that produced these results.
✔ Environment: empty
Great job! The global environment was empty. Objects defined in the global environment can affect the analysis in your R Markdown file in unknown ways. For reproduciblity it’s best to always run the code in an empty environment.
✔ Seed:
set.seed(20181026)
The command set.seed(20181026) was run prior to running the code in the R Markdown file. Setting a seed ensures that any results that rely on randomness, e.g. subsampling or permutations, are reproducible.
✔ Session information: recorded
Great job! Recording the operating system, R version, and package versions is critical for reproducibility.
✔ Repository version: dc4a8ca
wflow_publish or wflow_git_commit). workflowr only checks the R Markdown file, but you know if there are other scripts or data files that it depends on. Below is the status of the Git repository when the results were generated:
Ignored files:
Ignored: output/monocle/
Untracked files:
Untracked: files/171219-van_den_Brink2017-genes_affected_by_dissociation.csv
Unstaged changes:
Modified: code/10x-180831-config.R
Modified: code/preprocess-data.R
Note that any generated files, e.g. HTML, png, CSS, etc., are not included in this status report because it is ok for generated content to have uncommitted changes.
| File | Version | Author | Date | Message |
|---|---|---|---|---|
| Rmd | dc4a8ca | PytrikFolkertsma | 2018-11-11 | wflow_publish(c(“analysis/10x-180831-general-analysis.Rmd”)) |
This is an R Markdown Notebook. When you execute code within the notebook, the results appear beneath the code.
Try executing this chunk by clicking the Run button within the chunk or by placing your cursor inside it and pressing Cmd+Shift+Enter.
library(Seurat)
Loading required package: ggplot2
Loading required package: cowplot
Attaching package: 'cowplot'
The following object is masked from 'package:ggplot2':
ggsave
Loading required package: Matrix
library(dplyr)
Attaching package: 'dplyr'
The following objects are masked from 'package:stats':
filter, lag
The following objects are masked from 'package:base':
intersect, setdiff, setequal, union
seurobj <- readRDS('output/10x-180831')
For now the data was only filtered on 0.1 percent.mito. The subcluster from T1 with low UMI and gene counts was removed.
VlnPlot(seurobj, c("nGene", "percent.mito", "nUMI"), group.by='timepoint', nCol = 1, point.size.use=-1, size.x.use = 10)

GenePlot(seurobj, 'nUMI', 'nGene', cex.use = 0.5)

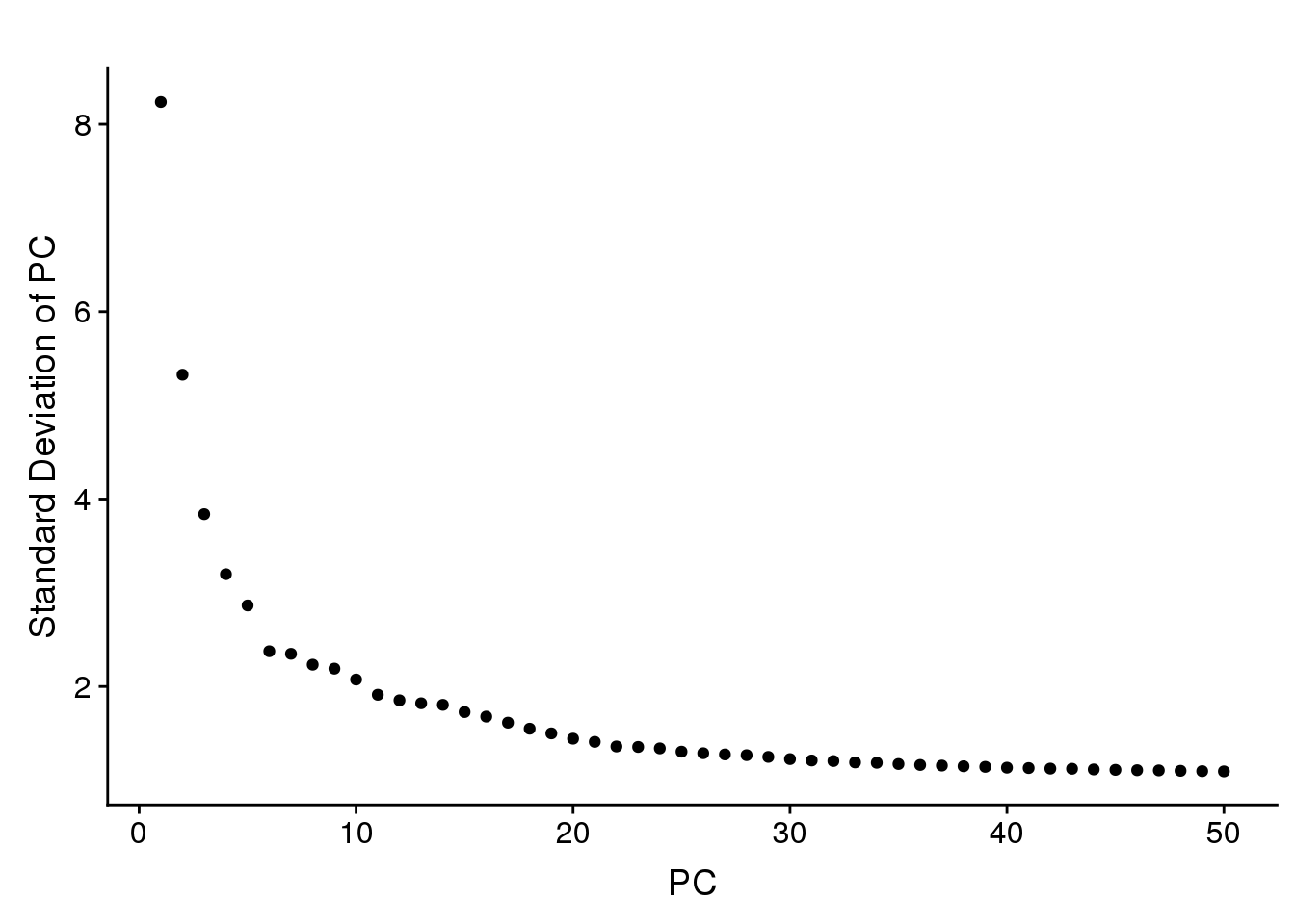
PCElbowPlot(seurobj, num.pc=50) #TSNE+clustering run on 21 PC's.

Interesting to see: T4 and T5 contain a lot more variation than T1, T2 and T3, and PC2 seems to split T4 and T5. Could the split in PC2 describe the cells developing into white or brown?
PCAPlot(seurobj, group.by='timepoint', pt.size=0.1)

A few clusters in the data have much higher expression of ‘ADIPOQ’, ‘SCD’, ‘RBP4’, ‘G0S2’, ‘PLIN4’, ‘FABP5’. This seems to be captured by PC2.
FeaturePlot(seurobj, reduction.use='pca', features.plot=c('ADIPOQ', 'SCD', 'RBP4', 'G0S2', 'PLIN4', 'FABP5'), pt.size=1, cols.use=c('gray', 'blue'), no.legend=F, nCol=2)

FeaturePlot(seurobj, reduction.use='pca', features.plot=c('PLA2G2A', 'MT1X', 'APOD', 'DPT', 'PTGDS', 'IGF2'), pt.size=1, cols.use=c('gray', 'blue'), no.legend=F, nCol=2)

PLA2G2A: http://www.jlr.org/content/early/2017/06/29/jlr.M076141 “…suggesting that PLA2G2A activates mitochondrial uncoupling in brown adipose tissue.”
PDGFRα/PDGFRβ signaling balance modulates progenitor cell differentiation into white and beige adipocytes. Based on PDGFRα or PDGFRβ deletion and ectopic expression experiments, we conclude that the PDGFRα/PDGFRβ signaling balance determines progenitor commitment to beige (PDGFRα) or white (PDGFRβ) adipogenesis. Our study suggests that adipocyte lineage specification and metabolism can be modulated through PDGFR signaling. http://dev.biologists.org/content/145/1/dev155861.long
FeaturePlot(seurobj, reduction.use='pca', features.plot=c('PDGFRA', 'PDGFRB'), pt.size=1, cols.use=c('gray', 'blue'), no.legend=F, nCol=2)

TSNEPlot(seurobj, group.by='timepoint', pt.size=0.1)

TSNEPlot(seurobj, group.by='Phase', pt.size=0.1)

Cluster 11 = mixture cluster.
TSNEPlot(seurobj, group.by='res.0.5', pt.size=0.1, do.label=T)

VlnPlot(seurobj, group.by='res.0.5', features.plot=c('MALAT1', 'NEAT1'), point.size.use=-1)

FeaturePlot(seurobj, reduction.use='tsne', features.plot = 'nUMI', cols.use=c('grey', 'blue'), no.legend=F)

FeaturePlot(seurobj, features.plot = 'percent.mito', cols.use=c('grey', 'blue'), no.legend = F)

FeaturePlot(seurobj, reduction.use='tsne', features.plot = 'nGene', cols.use=c('grey', 'blue'), no.legend = F)

FeaturePlot(seurobj, reduction.use='tsne', features.plot = 'EBF2', cols.use=c('grey', 'blue'), no.legend = F)

FeaturePlot(seurobj, reduction.use='tsne', features.plot = 'TM4SF1', cols.use=c('grey', 'blue'), no.legend = F)

FeaturePlot(seurobj, reduction.use='tsne', features.plot = 'LY6K', cols.use=c('grey', 'blue'), no.legend = F)

FeaturePlot(seurobj, reduction.use='tsne', features.plot = 'PDGFRA', cols.use=c('grey', 'blue'), no.legend = F)

Marker genes for mature brown/beige compared to white mentioned by Seale 2016: UCP1, DIO2, CIDEA, PPARGC1A, PPARA, COX7A1, COX8B, PRDM16, EBF2. \
VlnPlot(seurobj, features.plot=c('UCP1', 'DIO2', 'CIDEA', 'PPARGC1A', 'PPARA', 'COX7A1', 'PRDM16', 'EBF2'), group.by='timepoint', point.size.use = -1, nCol=2)

Based on PDGFRα or PDGFRβ deletion and ectopic expression experiments, we conclude that the PDGFRα/PDGFRβ signaling balance determines progenitor commitment to beige (PDGFRα) or white (PDGFRβ) adipogenesis. Our study suggests that adipocyte lineage specification and metabolism can be modulated through PDGFR signaling. http://dev.biologists.org/content/145/1/dev155861.long
FeaturePlot(seurobj, reduction.use='pca', features.plot=c('PDGFRA', 'PDGFRB'), pt.size=1, cols.use=c('gray', 'blue'), no.legend=F, nCol=2)

FeaturePlot(seurobj, reduction.use='tsne', features.plot=c('PDGFRA', 'PDGFRB'), pt.size=1, cols.use=c('gray', 'blue'), no.legend=F, nCol=2)

GenePlot(SetAllIdent(seurobj, id='timepoint'), gene1='PDGFRA', gene2='PDGFRB', cex.use=0.5)

sessionInfo()
R version 3.4.3 (2017-11-30)
Platform: x86_64-redhat-linux-gnu (64-bit)
Running under: Red Hat Enterprise Linux
Matrix products: default
BLAS/LAPACK: /usr/lib64/R/lib/libRblas.so
locale:
[1] LC_CTYPE=en_US.UTF-8 LC_NUMERIC=C
[3] LC_TIME=en_US.UTF-8 LC_COLLATE=en_US.UTF-8
[5] LC_MONETARY=en_US.UTF-8 LC_MESSAGES=en_US.UTF-8
[7] LC_PAPER=en_US.UTF-8 LC_NAME=C
[9] LC_ADDRESS=C LC_TELEPHONE=C
[11] LC_MEASUREMENT=en_US.UTF-8 LC_IDENTIFICATION=C
attached base packages:
[1] stats graphics grDevices utils datasets methods base
other attached packages:
[1] bindrcpp_0.2.2 dplyr_0.7.6 Seurat_2.3.4 Matrix_1.2-14
[5] cowplot_0.9.3 ggplot2_3.0.0
loaded via a namespace (and not attached):
[1] Rtsne_0.13 colorspace_1.3-2 class_7.3-14
[4] modeltools_0.2-22 ggridges_0.5.0 mclust_5.4.1
[7] rprojroot_1.3-2 htmlTable_1.12 base64enc_0.1-3
[10] rstudioapi_0.7 proxy_0.4-22 flexmix_2.3-14
[13] bit64_0.9-7 mvtnorm_1.0-8 codetools_0.2-15
[16] splines_3.4.3 R.methodsS3_1.7.1 robustbase_0.93-2
[19] knitr_1.20 Formula_1.2-3 jsonlite_1.5
[22] workflowr_1.1.1 ica_1.0-2 cluster_2.0.7-1
[25] kernlab_0.9-27 png_0.1-7 R.oo_1.22.0
[28] compiler_3.4.3 httr_1.3.1 backports_1.1.2
[31] assertthat_0.2.0 lazyeval_0.2.1 lars_1.2
[34] acepack_1.4.1 htmltools_0.3.6 tools_3.4.3
[37] igraph_1.2.2 gtable_0.2.0 glue_1.3.0
[40] RANN_2.6 reshape2_1.4.3 Rcpp_0.12.18
[43] trimcluster_0.1-2.1 gdata_2.18.0 ape_5.1
[46] nlme_3.1-137 iterators_1.0.10 fpc_2.1-11.1
[49] gbRd_0.4-11 lmtest_0.9-36 stringr_1.3.1
[52] irlba_2.3.2 gtools_3.8.1 DEoptimR_1.0-8
[55] MASS_7.3-50 zoo_1.8-3 scales_1.0.0
[58] doSNOW_1.0.16 parallel_3.4.3 RColorBrewer_1.1-2
[61] yaml_2.2.0 reticulate_1.10 pbapply_1.3-4
[64] gridExtra_2.3 rpart_4.1-13 segmented_0.5-3.0
[67] latticeExtra_0.6-28 stringi_1.2.4 foreach_1.4.4
[70] checkmate_1.8.5 caTools_1.17.1.1 bibtex_0.4.2
[73] Rdpack_0.9-0 SDMTools_1.1-221 rlang_0.2.2
[76] pkgconfig_2.0.2 dtw_1.20-1 prabclus_2.2-6
[79] bitops_1.0-6 evaluate_0.11 lattice_0.20-35
[82] ROCR_1.0-7 purrr_0.2.5 bindr_0.1.1
[85] labeling_0.3 htmlwidgets_1.2 bit_1.1-14
[88] tidyselect_0.2.4 plyr_1.8.4 magrittr_1.5
[91] R6_2.2.2 snow_0.4-2 gplots_3.0.1
[94] Hmisc_4.1-1 pillar_1.3.0 whisker_0.3-2
[97] foreign_0.8-70 withr_2.1.2 fitdistrplus_1.0-9
[100] mixtools_1.1.0 survival_2.42-6 nnet_7.3-12
[103] tsne_0.1-3 tibble_1.4.2 crayon_1.3.4
[106] hdf5r_1.0.0 KernSmooth_2.23-15 rmarkdown_1.10
[109] grid_3.4.3 data.table_1.11.4 git2r_0.23.0
[112] metap_1.0 digest_0.6.15 diptest_0.75-7
[115] tidyr_0.8.1 R.utils_2.7.0 stats4_3.4.3
[118] munsell_0.5.0
This reproducible R Markdown analysis was created with workflowr 1.1.1