CASH on FDR, 6Warning in as.POSIXlt.POSIXct(Sys.time()): unknown timezone 'zone/tz/2017c.
1.0/zoneinfo/America/Chicago'
Last updated: 2017-11-29
Code version: 32adf96
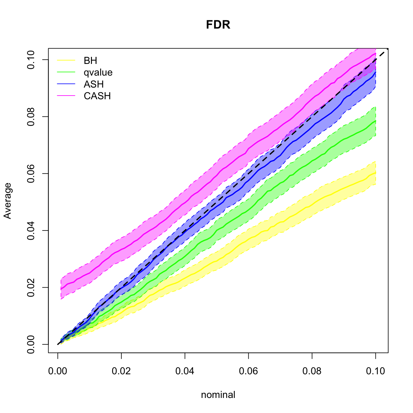
\[ g = 0.6\delta_0 + 0.3N(0, \sigma_n^2) + 0.1N(0, (3\sigma_n)^2) \]


sessionInfo()
R version 3.4.2 (2017-09-28)
Platform: x86_64-apple-darwin15.6.0 (64-bit)
Running under: macOS High Sierra 10.13.1
Matrix products: default
BLAS: /Library/Frameworks/R.framework/Versions/3.4/Resources/lib/libRblas.0.dylib
LAPACK: /Library/Frameworks/R.framework/Versions/3.4/Resources/lib/libRlapack.dylib
locale:
[1] en_US.UTF-8/en_US.UTF-8/en_US.UTF-8/C/en_US.UTF-8/en_US.UTF-8
attached base packages:
[1] stats graphics grDevices utils datasets methods base
other attached packages:
[1] edgeR_3.20.1 limma_3.34.0 ggplot2_2.2.1
[4] reshape2_1.4.2 ashr_2.1-27 Rmosek_7.1.3
[7] PolynomF_0.94 cvxr_0.0.0.9009 REBayes_0.85
[10] Matrix_1.2-11 SQUAREM_2017.10-1 EQL_1.0-0
[13] ttutils_1.0-1
loaded via a namespace (and not attached):
[1] locfit_1.5-9.1 splines_3.4.2 lattice_0.20-35
[4] colorspace_1.3-2 htmltools_0.3.6 yaml_2.1.14
[7] base64enc_0.1-3 survival_2.41-3 rlang_0.1.4
[10] foreign_0.8-69 RColorBrewer_1.1-2 foreach_1.4.3
[13] plyr_1.8.4 stringr_1.2.0 munsell_0.4.3
[16] gtable_0.2.0 htmlwidgets_0.9 codetools_0.2-15
[19] evaluate_0.10.1 labeling_0.3 latticeExtra_0.6-28
[22] knitr_1.17 pscl_1.5.2 doParallel_1.0.11
[25] parallel_3.4.2 htmlTable_1.9 Rcpp_0.12.13
[28] acepack_1.4.1 checkmate_1.8.5 scales_0.5.0
[31] backports_1.1.1 Hmisc_4.0-3 truncnorm_1.0-7
[34] gridExtra_2.3 digest_0.6.12 stringi_1.1.5
[37] grid_3.4.2 rprojroot_1.2 tools_3.4.2
[40] magrittr_1.5 lazyeval_0.2.1 tibble_1.3.4
[43] Formula_1.2-2 cluster_2.0.6 MASS_7.3-47
[46] data.table_1.10.4-3 rmarkdown_1.6 iterators_1.0.8
[49] rpart_4.1-11 nnet_7.3-12 git2r_0.19.0
[52] compiler_3.4.2
This R Markdown site was created with workflowr