Last updated: 2018-04-10
Code version: 22c15a5
Loading required package: foreach
Loading required package: iterators
Loading required package: parallel
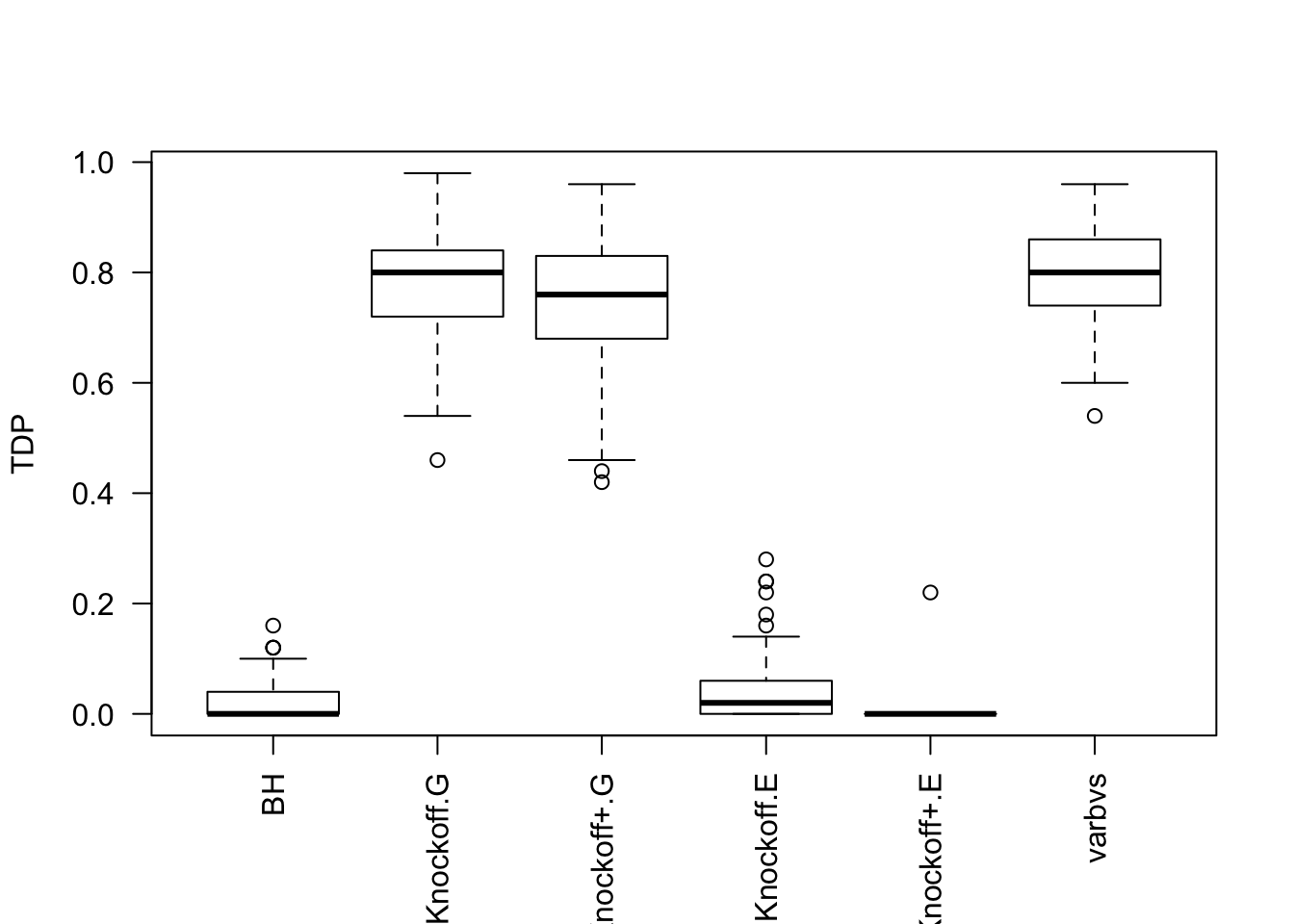
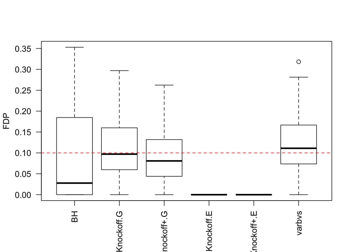
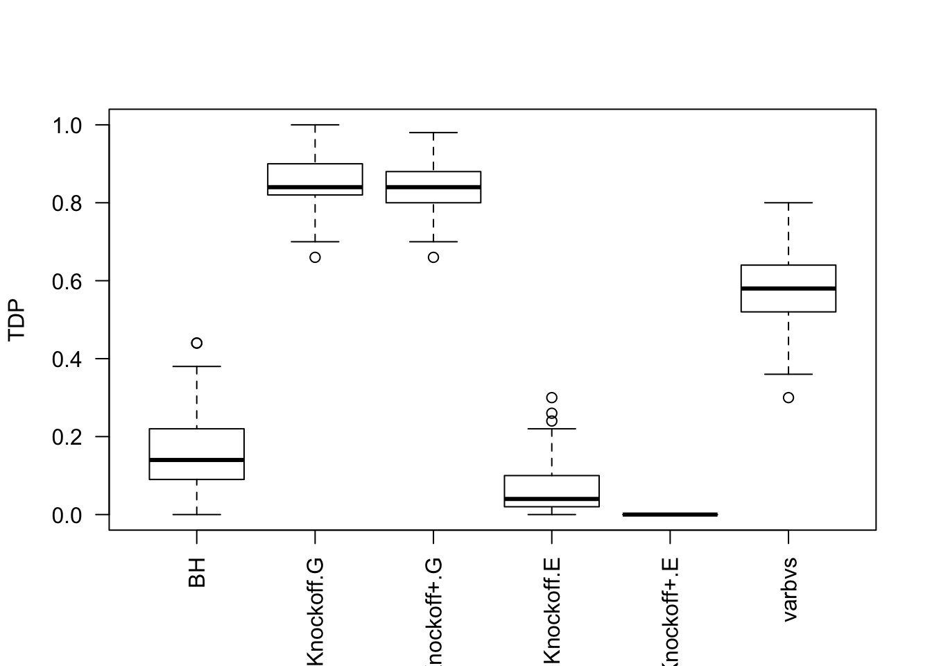
n <- 1200
p <- 1000
k <- 50
m <- 100
q <- 0.1




sessionInfo()
R version 3.4.3 (2017-11-30)
Platform: x86_64-apple-darwin15.6.0 (64-bit)
Running under: macOS High Sierra 10.13.4
Matrix products: default
BLAS: /Library/Frameworks/R.framework/Versions/3.4/Resources/lib/libRblas.0.dylib
LAPACK: /Library/Frameworks/R.framework/Versions/3.4/Resources/lib/libRlapack.dylib
locale:
[1] en_US.UTF-8/en_US.UTF-8/en_US.UTF-8/C/en_US.UTF-8/en_US.UTF-8
attached base packages:
[1] parallel  stats     graphics  grDevices utils     datasets  methods  
[8] base     
other attached packages:
[1] lattice_0.20-35 doMC_1.3.5      iterators_1.0.9 foreach_1.4.4  
[5] ggplot2_2.2.1   reshape2_1.4.3  Matrix_1.2-12   varbvs_2.4-0   
[9] knockoff_0.3.0 
loaded via a namespace (and not attached):
 [1] Rcpp_0.12.14        knitr_1.20          magrittr_1.5       
 [4] munsell_0.4.3       colorspace_1.3-2    rlang_0.1.6        
 [7] stringr_1.3.0       plyr_1.8.4          tools_3.4.3        
[10] grid_3.4.3          gtable_0.2.0        latticeExtra_0.6-28
[13] git2r_0.21.0        htmltools_0.3.6     lazyeval_0.2.1     
[16] yaml_2.1.18         rprojroot_1.3-2     digest_0.6.15      
[19] tibble_1.4.1        RColorBrewer_1.1-2  codetools_0.2-15   
[22] evaluate_0.10.1     rmarkdown_1.9       stringi_1.1.6      
[25] pillar_1.0.1        compiler_3.4.3      scales_0.5.0       
[28] backports_1.1.2    
This R Markdown site was created with workflowr