Last updated: 2018-04-16
Code version: c7c5984
The true \(\beta\) are simulated as \(\beta \sim \pi_0\delta_0 + (1 - \pi_0)N(0, \sigma_\beta^2)\).
varbvs.get.lfsr <- function (fit) {
# For each variable, and each hyperparameter setting, get the
# posterior probability that the regression coefficient is exactly
# zero.
p0 <- 1 - fit$alpha
# For each variable, and for each hyperparameter setting, get the
# posterior probability that the regression coefficient is negative.
pn <- with(fit,alpha * pnorm(0,mu,sqrt(s)))
# For each variable, and for each hyperparameter setting, ompute the
# local false sign rate (LFSR) following the formula given in
# Matthew's Biostatistics paper, "False discovery rates: a new deal".
p <- nrow(fit$alpha)
k <- ncol(fit$alpha)
lfsr <- matrix(0,p,k)
b <- pn > 0.5*(1 - p0)
lfsr[b] <- 1 - pn[b]
lfsr[!b] <- p0[!b] + pn[!b]
# Average the average LFSR over the hyperparameter settings, weighted
# by the probability of each hyperparameter setting.
lfsr <- c(lfsr %*% fit$w)
return(lfsr)
}
n <- 2000
p <- 1000
k <- 200
m <- 100
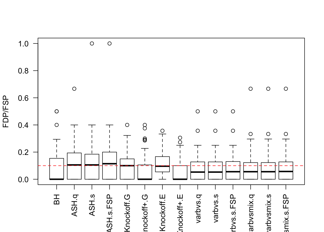
q <- 0.1
\(X_{n \times p}\) has independent columns simulated from \(N(0, (1/\sqrt n)^2)\) so they are roughly normalized.


\(X_{n \times p}\) has correlation \(\Sigma_{ij} = \rho^{|i - j|}\). Each row is independently \(N(0, \frac1n\Sigma)\).






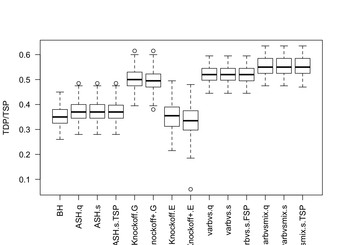
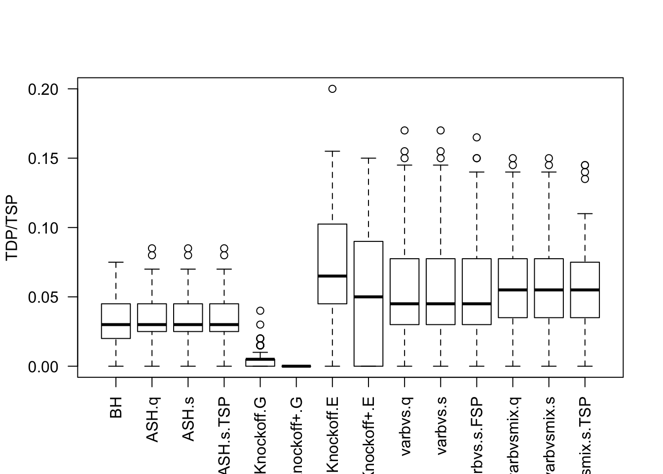
ASH and BH, probably because the presence of small signals makes knockoff less powerful.equi is better than SDP when generating knockoffs, as shown in previous simulations using factor model for \(X\).n <- 300
p <- 1000
k <- 200
m <- 100
q <- 0.1
Cov.X <- diag(1 / n, p)








sessionInfo()
R version 3.4.3 (2017-11-30)
Platform: x86_64-apple-darwin15.6.0 (64-bit)
Running under: macOS High Sierra 10.13.4
Matrix products: default
BLAS: /Library/Frameworks/R.framework/Versions/3.4/Resources/lib/libRblas.0.dylib
LAPACK: /Library/Frameworks/R.framework/Versions/3.4/Resources/lib/libRlapack.dylib
locale:
[1] en_US.UTF-8/en_US.UTF-8/en_US.UTF-8/C/en_US.UTF-8/en_US.UTF-8
attached base packages:
[1] stats graphics grDevices utils datasets methods base
loaded via a namespace (and not attached):
[1] compiler_3.4.3 backports_1.1.2 magrittr_1.5 rprojroot_1.3-2
[5] tools_3.4.3 htmltools_0.3.6 yaml_2.1.18 Rcpp_0.12.16
[9] stringi_1.1.6 rmarkdown_1.9 knitr_1.20 git2r_0.21.0
[13] stringr_1.3.0 digest_0.6.15 evaluate_0.10.1
This R Markdown site was created with workflowr