Warning in as.POSIXlt.POSIXct(Sys.time()): unknown timezone 'zone/tz/2017c.
1.0/zoneinfo/America/Chicago'
Last updated: 2017-11-22
Code version: beffb01
After extensive exploratory simulations, it seems completely simulated data give cleaner results than simulated real data, which is expected.
source("../code/gdash_lik.R")
set.seed(777)
z.mat <- se.mat <- matrix(0, ncol = 1e4, nrow = 1e3)
for (i in 1 : nrow(z.mat)) {
L <- matrix(rnorm(1e4 * 10), ncol = 10)
z.mat[i, ] <- L %*% rnorm(10) / sqrt(rowSums(L^2))
se.mat[i, ] <- sqrt(rchisq(1e4, 1))
}
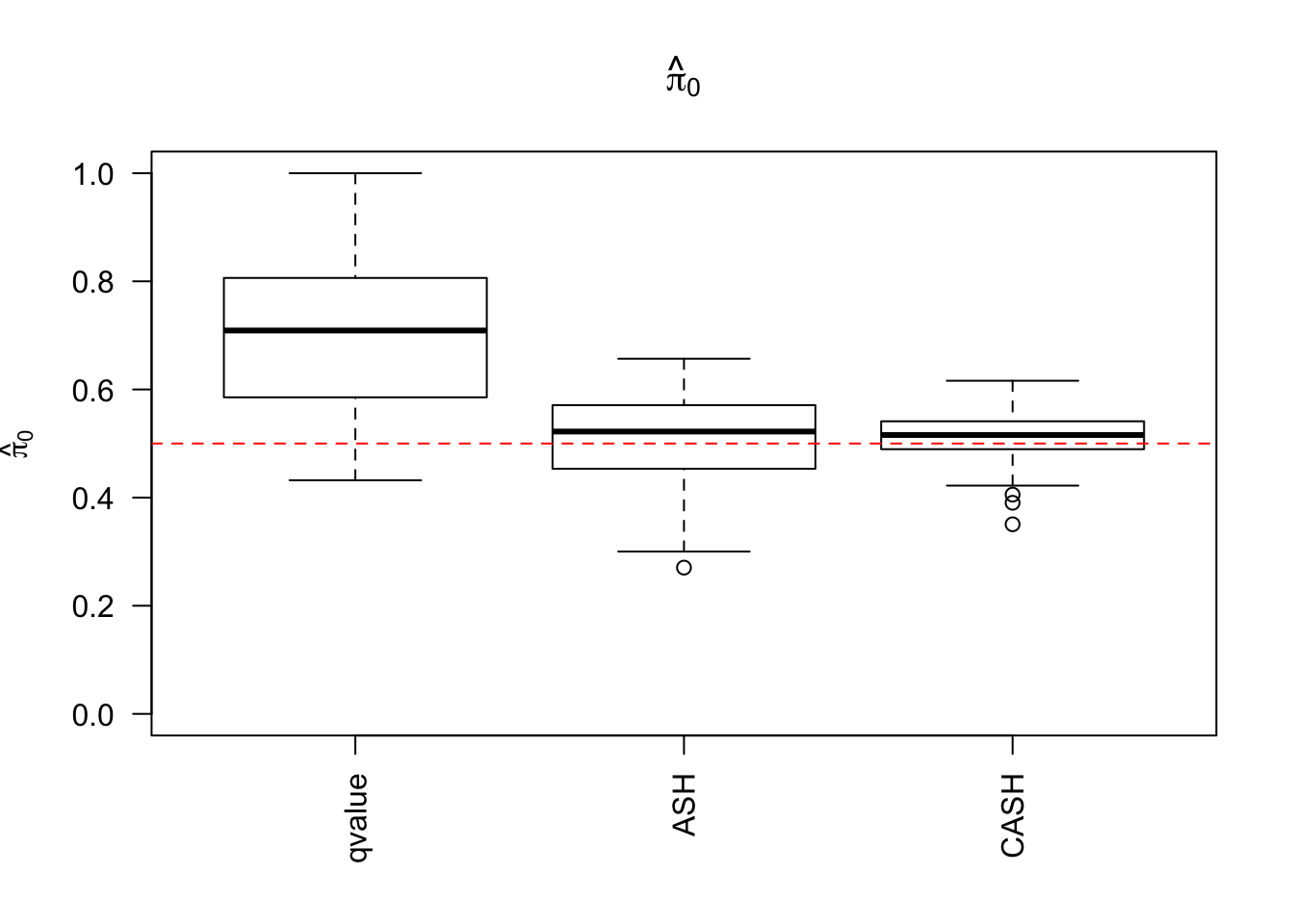
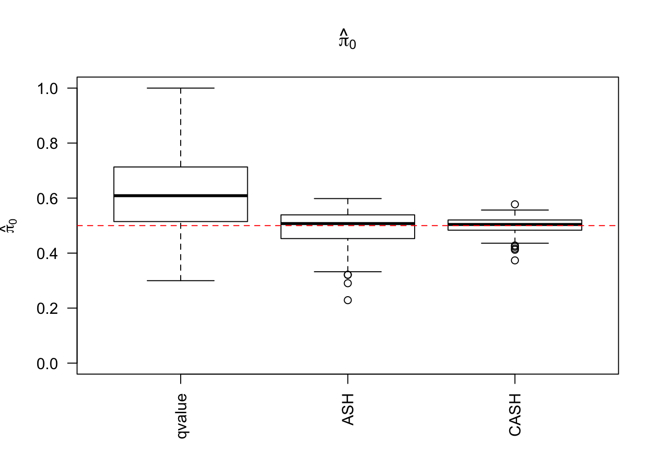
cashSim(z.mat, se.mat,
nsim = 200, ngene = 1000,
g.pi = c(0.5, 0.3, 0.2), g.sd = c(0, 1, 2), relative_to_noise = FALSE)


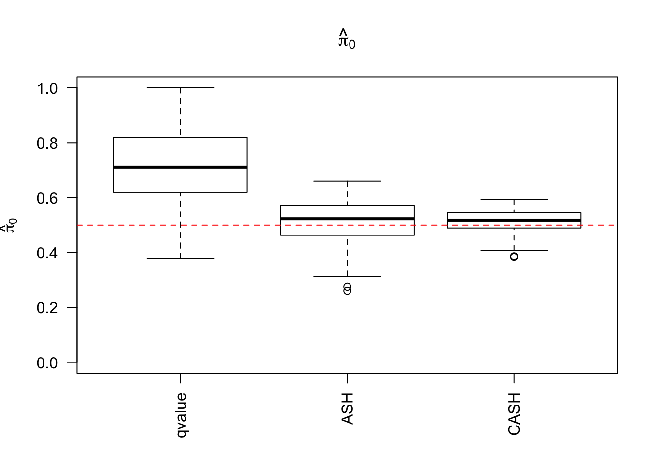
cashSim(z.mat, se.mat,
nsim = 200, ngene = 1000,
g.pi = c(0.5, 0.4, 0.1), g.sd = c(0, 1, 2), relative_to_noise = FALSE)


cashSim(z.mat, se.mat,
nsim = 200, ngene = 1000,
g.pi = c(0.6, 0.3, 0.1), g.sd = c(0, 1, 2), relative_to_noise = FALSE)


cashSim(z.mat, se.mat,
nsim = 200, ngene = 1000,
g.pi = c(0.9, 0.1), g.sd = c(0, 1), relative_to_noise = FALSE)


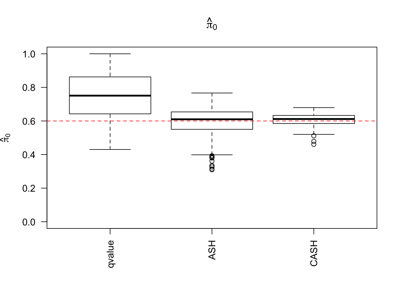
cashSim(z.mat, se.mat,
nsim = 200, ngene = 1000,
g.pi = c(0.9, 0.1), g.sd = c(0, 2), relative_to_noise = FALSE)


cashSim(z.mat, se.mat,
nsim = 200, ngene = 1000,
g.pi = c(0.9, 0.1), g.sd = c(0, 3), relative_to_noise = FALSE)


cashSim(z.mat, se.mat,
nsim = 200, ngene = 1000,
g.pi = c(0.9, 0.05, 0.05), g.sd = c(0, 1, 2), relative_to_noise = FALSE)


cashSim(z.mat, se.mat,
nsim = 200, ngene = 1000,
g.pi = c(0.9, 0.05, 0.05), g.sd = c(0, 1, 3), relative_to_noise = FALSE)


cashSim(z.mat, se.mat,
nsim = 200, ngene = 1000,
g.pi = c(0.5, 0.5), g.sd = c(0, 1), relative_to_noise = FALSE)


cashSim(z.mat, se.mat,
nsim = 200, ngene = 1000,
g.pi = c(0.5, 0.5), g.sd = c(0, 2), relative_to_noise = FALSE)


cashSim(z.mat, se.mat,
nsim = 200, ngene = 1000,
g.pi = c(0.5, 0.5), g.sd = c(0, 3), relative_to_noise = FALSE)
Warning in REBayes::KWDual(A, rep(1, k), normalize(w), control = control): estimated mixing distribution has some negative values:
consider reducing rtol
Warning in REBayes::KWDual(A, rep(1, k), normalize(w), control = control): estimated mixing distribution has some negative values:
consider reducing rtol
Warning in REBayes::KWDual(A, rep(1, k), normalize(w), control = control): estimated mixing distribution has some negative values:
consider reducing rtol
Warning in REBayes::KWDual(A, rep(1, k), normalize(w), control = control): estimated mixing distribution has some negative values:
consider reducing rtol
Warning in REBayes::KWDual(A, rep(1, k), normalize(w), control = control): estimated mixing distribution has some negative values:
consider reducing rtol
Warning in REBayes::KWDual(A, rep(1, k), normalize(w), control = control): estimated mixing distribution has some negative values:
consider reducing rtol
Warning in REBayes::KWDual(A, rep(1, k), normalize(w), control = control): estimated mixing distribution has some negative values:
consider reducing rtol
Warning in REBayes::KWDual(A, rep(1, k), normalize(w), control = control): estimated mixing distribution has some negative values:
consider reducing rtol


z.real <- readRDS("../output/z_null_liver_777.rds")
se.real <- readRDS("../output/sebetahat_null_liver_777.rds")
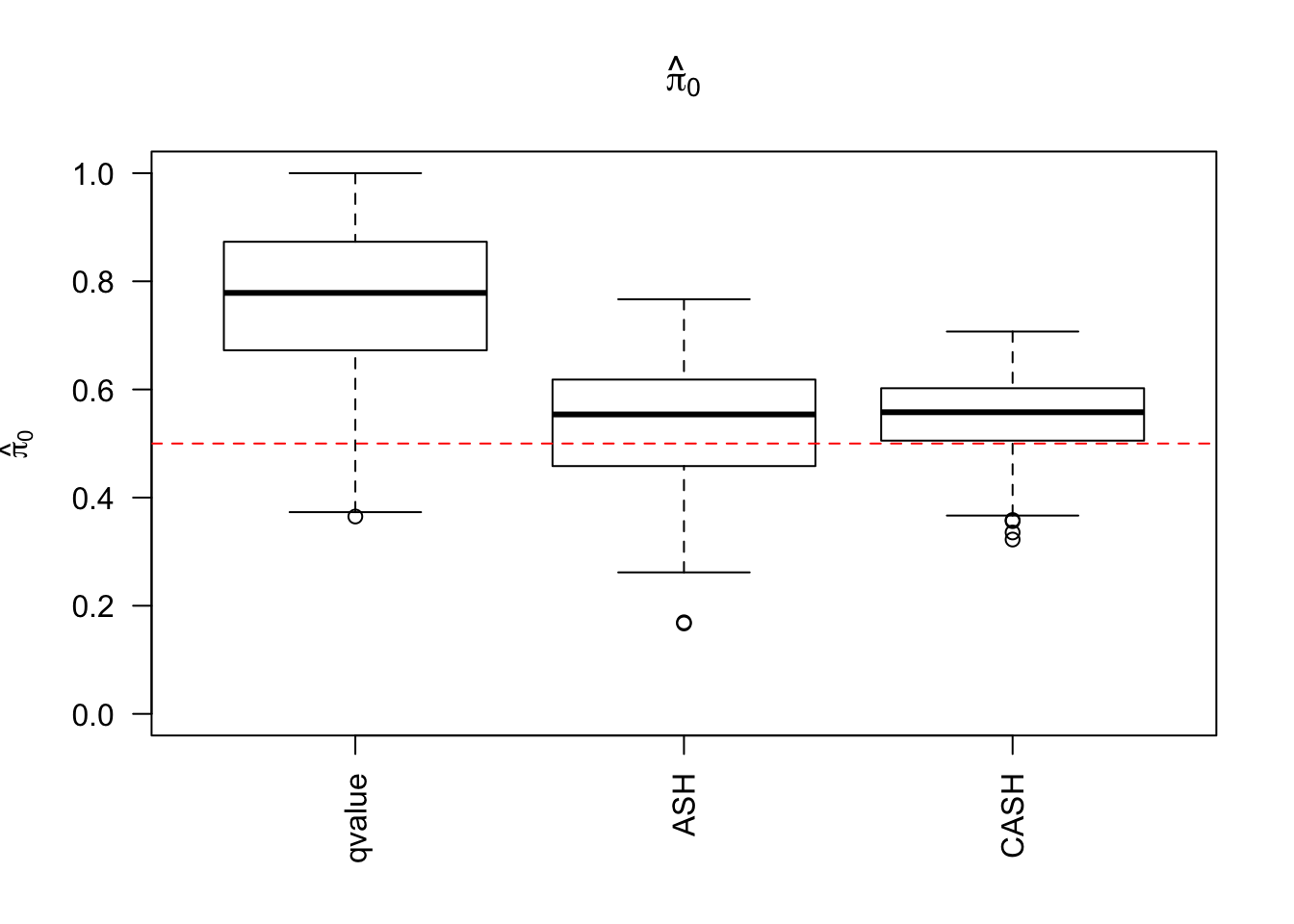
cashSim(z.real, se.real,
nsim = 200, ngene = 1000,
g.pi = c(0.5, 0.5), g.sd = c(0, 1), relative_to_noise = TRUE)


cashSim(z.real, se.real,
nsim = 200, ngene = 1000,
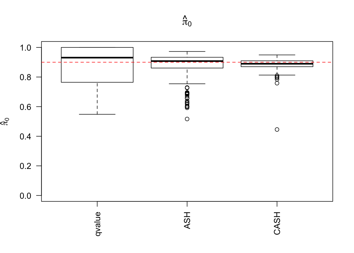
g.pi = c(0.9, 0.1), g.sd = c(0, 1), relative_to_noise = TRUE)


cashSim(z.real, se.real,
nsim = 200, ngene = 1000,
g.pi = c(0.9, 0.1), g.sd = c(0, 2), relative_to_noise = TRUE)


sessionInfo()
R version 3.4.2 (2017-09-28)
Platform: x86_64-apple-darwin15.6.0 (64-bit)
Running under: macOS High Sierra 10.13.1
Matrix products: default
BLAS: /Library/Frameworks/R.framework/Versions/3.4/Resources/lib/libRblas.0.dylib
LAPACK: /Library/Frameworks/R.framework/Versions/3.4/Resources/lib/libRlapack.dylib
locale:
[1] en_US.UTF-8/en_US.UTF-8/en_US.UTF-8/C/en_US.UTF-8/en_US.UTF-8
attached base packages:
[1] stats graphics grDevices utils datasets methods base
other attached packages:
[1] ashr_2.1-27 Rmosek_7.1.3 PolynomF_0.94 cvxr_0.0.0.9009
[5] REBayes_0.85 Matrix_1.2-11 SQUAREM_2017.10-1 EQL_1.0-0
[9] ttutils_1.0-1
loaded via a namespace (and not attached):
[1] Rcpp_0.12.13 knitr_1.17 magrittr_1.5
[4] MASS_7.3-47 pscl_1.5.2 doParallel_1.0.11
[7] lattice_0.20-35 foreach_1.4.3 stringr_1.2.0
[10] tools_3.4.2 parallel_3.4.2 grid_3.4.2
[13] git2r_0.19.0 iterators_1.0.8 htmltools_0.3.6
[16] yaml_2.1.14 rprojroot_1.2 digest_0.6.12
[19] codetools_0.2-15 evaluate_0.10.1 rmarkdown_1.6
[22] stringi_1.1.5 compiler_3.4.2 backports_1.1.1
[25] truncnorm_1.0-7
This R Markdown site was created with workflowr