ASH vs KnockoffLast updated: 2018-04-05
Code version: 20ea328
The true \(\beta\) are simulated as \(\beta \sim \pi_0\delta_0 + (1 - \pi_0)N(0, \sigma_\beta^2)\).
\(X_{n \times p}\) has independent columns simulated from \(N(0, (1/\sqrt n)^2)\) so they are roughly normalized.


\(X_{n \times p}\) has correlation \(\Sigma_{ij} = \rho^{|i - j|}\). Each row is independently \(N(0, \frac1n\Sigma)\).




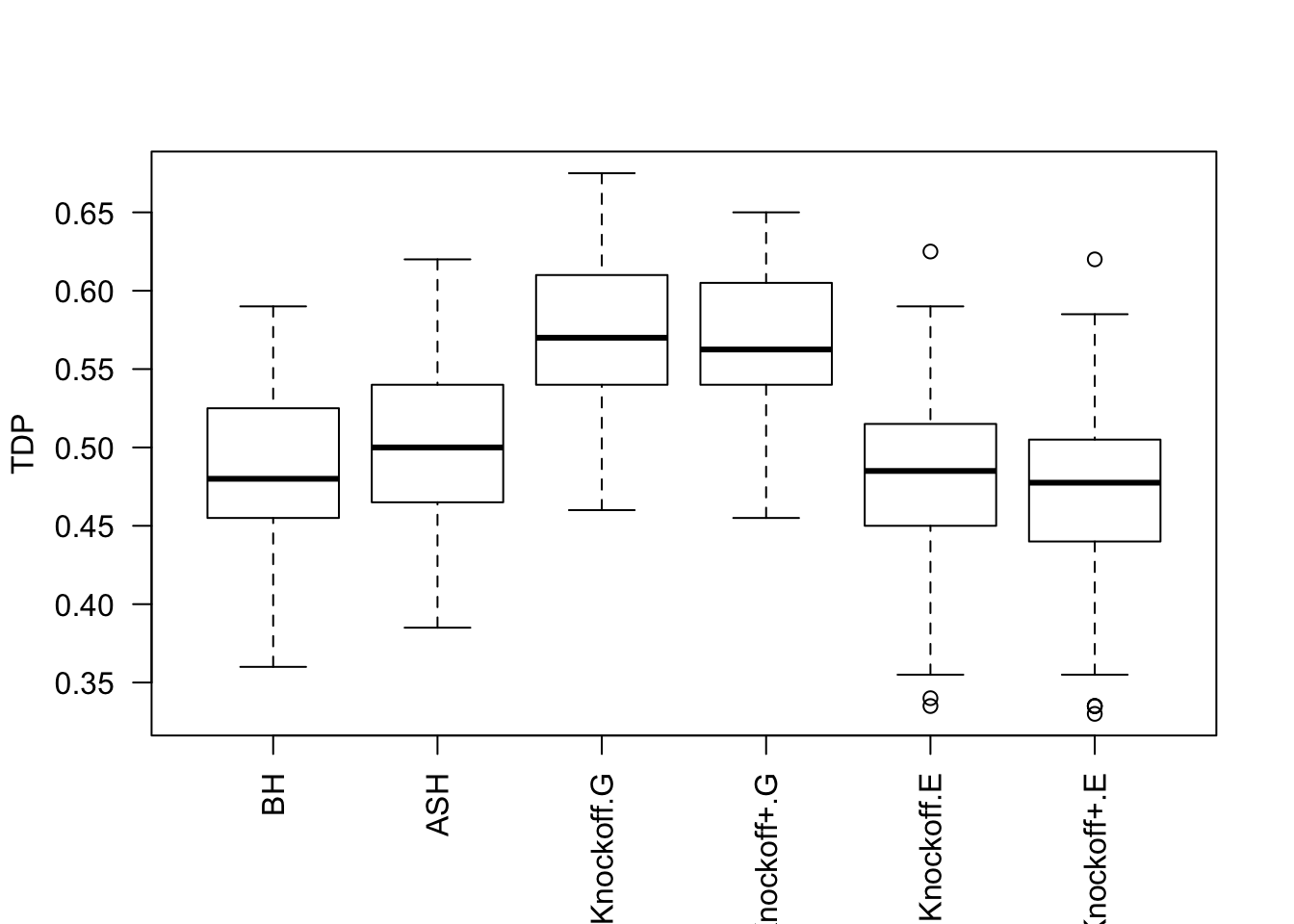
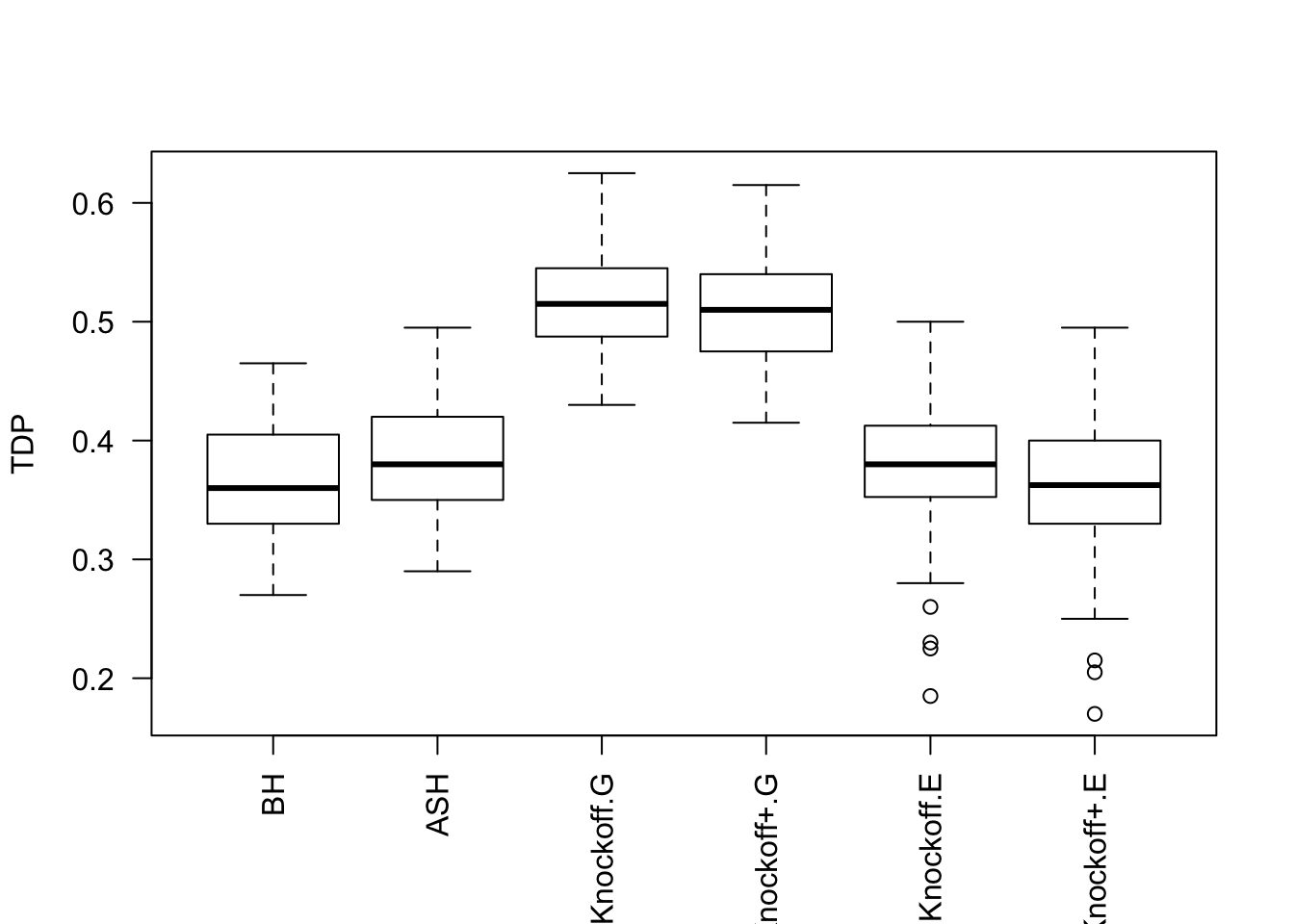
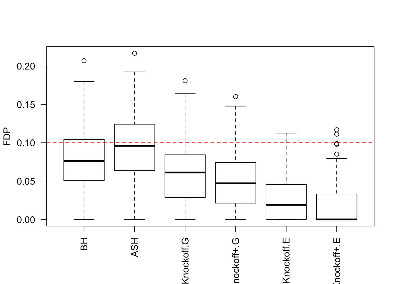
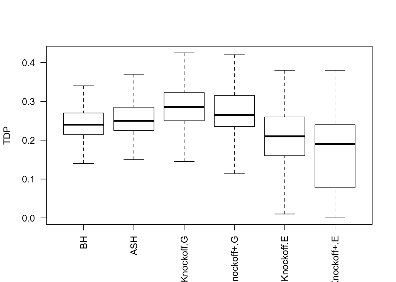
ASH and BH, probably because the presence of small signals makes knockoff less powerful.equi is better than SDP when generating knockoffs, as shown in previous simulations using factor model for \(X\).sessionInfo()
R version 3.4.3 (2017-11-30)
Platform: x86_64-apple-darwin15.6.0 (64-bit)
Running under: macOS High Sierra 10.13.4
Matrix products: default
BLAS: /Library/Frameworks/R.framework/Versions/3.4/Resources/lib/libRblas.0.dylib
LAPACK: /Library/Frameworks/R.framework/Versions/3.4/Resources/lib/libRlapack.dylib
locale:
[1] en_US.UTF-8/en_US.UTF-8/en_US.UTF-8/C/en_US.UTF-8/en_US.UTF-8
attached base packages:
[1] stats     graphics  grDevices utils     datasets  methods   base     
loaded via a namespace (and not attached):
 [1] compiler_3.4.3  backports_1.1.2 magrittr_1.5    rprojroot_1.3-2
 [5] tools_3.4.3     htmltools_0.3.6 yaml_2.1.18     Rcpp_0.12.14   
 [9] stringi_1.1.6   rmarkdown_1.9   knitr_1.20      git2r_0.21.0   
[13] stringr_1.3.0   digest_0.6.15   evaluate_0.10.1
This R Markdown site was created with workflowr