Warning in as.POSIXlt.POSIXct(Sys.time()): unknown timezone 'zone/tz/2017c.
1.0/zoneinfo/America/Chicago'
Last updated: 2017-11-14
Code version: db1eccb
Instead of doing a simulation with \(1K\) runs, each run with \(10K\) samples, we are downsizing it so that simulations can be done faster while still show a pattern. Right now, \(100\) runs, each run with \(5K\) samples seem adequate.
We don’t want the sample size to be too small. Small sample sizes appear to work less well with Gaussian derivatives fitting.
source("../code/gdash_lik.R")
z.mat = readRDS("../output/z_null_liver_777.rds")
se.mat = readRDS("../output/sebetahat_null_liver_777.rds")
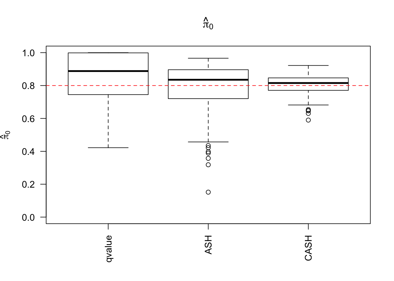
cashSim(z.mat, se.mat,
        nsim = 100, ngene = 1000,
        g.pi = c(0.8, 0.2), g.sd = c(0, 1), relative_to_noise = TRUE)


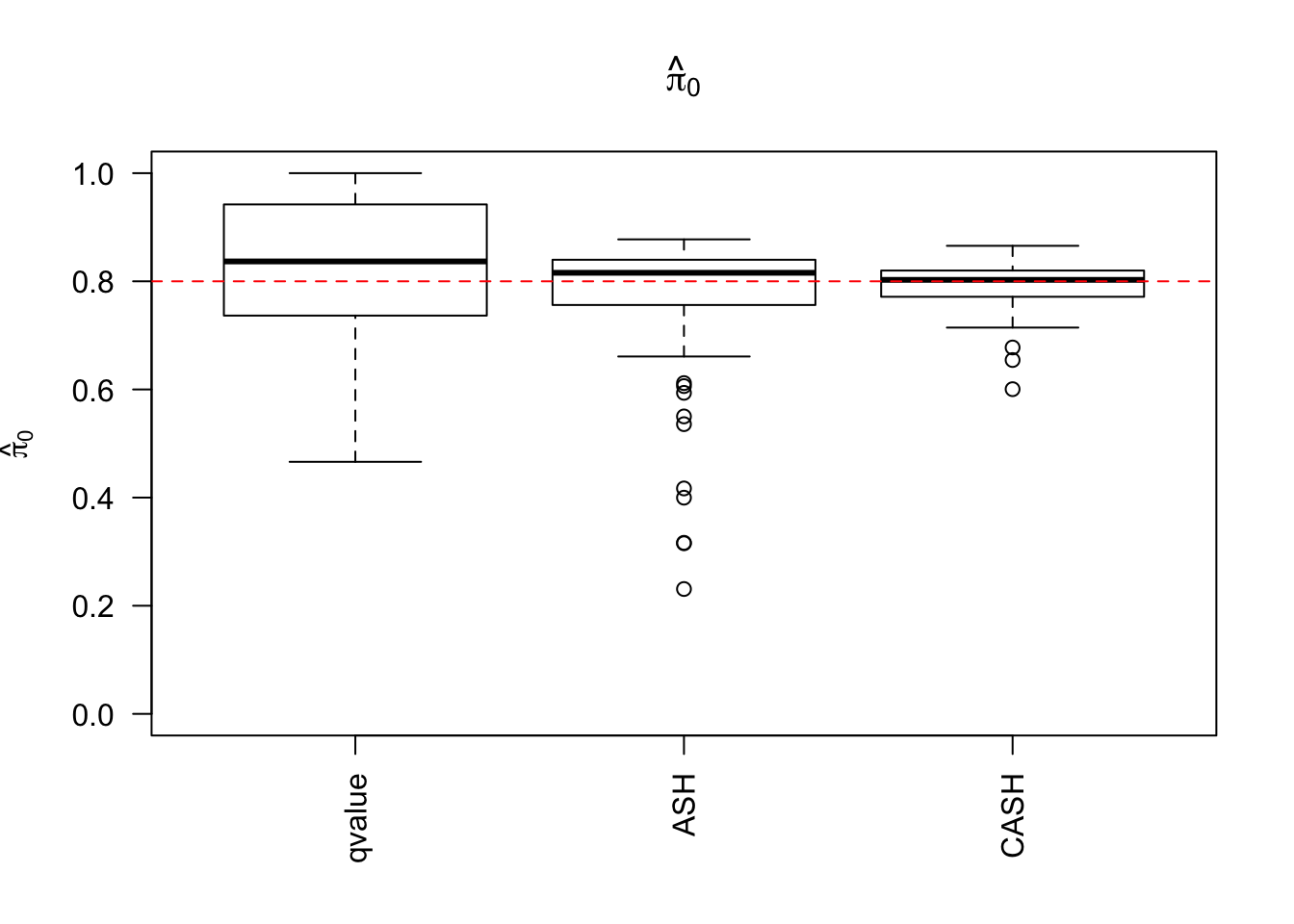
cashSim(z.mat, se.mat,
        nsim = 100, ngene = 1000,
        g.pi = c(0.8, 0.2), g.sd = c(0, 2), relative_to_noise = TRUE)


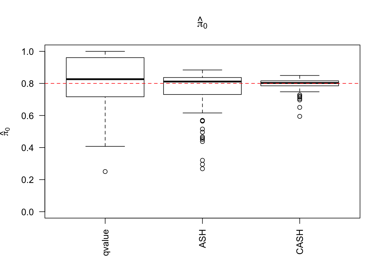
cashSim(z.mat, se.mat,
        nsim = 100, ngene = 1000,
        g.pi = c(0.8, 0.2), g.sd = c(0, 1), relative_to_noise = FALSE)


cashSim(z.mat, se.mat,
        nsim = 100, ngene = 1000,
        g.pi = c(0.8, 0.1, 0.1), g.sd = c(0, 1, 2), relative_to_noise = TRUE)


cashSim(z.mat, se.mat,
        nsim = 100, ngene = 1000,
        g.pi = c(0.8, 0.1, 0.1), g.sd = c(0, 1, 2), relative_to_noise = FALSE)


cashSim(z.mat, se.mat,
        nsim = 100, ngene = 1000,
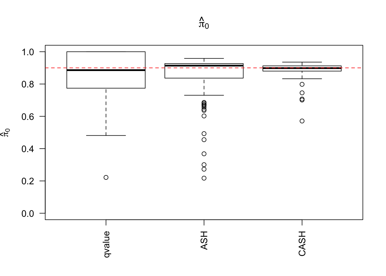
        g.pi = c(0.9, 0.1), g.sd = c(0, 1), relative_to_noise = TRUE)


cashSim(z.mat, se.mat,
        nsim = 100, ngene = 1000,
        g.pi = c(0.9, 0.1), g.sd = c(0, 2), relative_to_noise = TRUE)


cashSim(z.mat, se.mat,
        nsim = 100, ngene = 1000,
        g.pi = c(0.9, 0.1), g.sd = c(0, 1), relative_to_noise = FALSE)


cashSim(z.mat, se.mat,
        nsim = 100, ngene = 1000,
        g.pi = c(0.9, 0.05, 0.05), g.sd = c(0, 1, 2), relative_to_noise = TRUE)


cashSim(z.mat, se.mat,
        nsim = 100, ngene = 1000,
        g.pi = c(0.9, 0.05, 0.05), g.sd = c(0, 1, 2), relative_to_noise = FALSE)


cashSim(z.mat, se.mat,
        nsim = 100, ngene = 1000,
        g.pi = c(0.85, 0.10, 0.05), g.sd = c(0, 1, 2), relative_to_noise = TRUE)


cashSim(z.mat, se.mat,
        nsim = 100, ngene = 1000,
        g.pi = c(0.85, 0.10, 0.05), g.sd = c(0, 1, 2), relative_to_noise = FALSE)


sessionInfo()
R version 3.4.2 (2017-09-28)
Platform: x86_64-apple-darwin15.6.0 (64-bit)
Running under: macOS High Sierra 10.13.1
Matrix products: default
BLAS: /Library/Frameworks/R.framework/Versions/3.4/Resources/lib/libRblas.0.dylib
LAPACK: /Library/Frameworks/R.framework/Versions/3.4/Resources/lib/libRlapack.dylib
locale:
[1] en_US.UTF-8/en_US.UTF-8/en_US.UTF-8/C/en_US.UTF-8/en_US.UTF-8
attached base packages:
[1] stats     graphics  grDevices utils     datasets  methods   base     
other attached packages:
[1] ashr_2.1-27       Rmosek_7.1.3      PolynomF_0.94     cvxr_0.0.0.9009  
[5] REBayes_0.85      Matrix_1.2-11     SQUAREM_2017.10-1 EQL_1.0-0        
[9] ttutils_1.0-1    
loaded via a namespace (and not attached):
 [1] Rcpp_0.12.13      knitr_1.17        magrittr_1.5     
 [4] MASS_7.3-47       pscl_1.5.2        doParallel_1.0.11
 [7] lattice_0.20-35   foreach_1.4.3     stringr_1.2.0    
[10] tools_3.4.2       parallel_3.4.2    grid_3.4.2       
[13] git2r_0.19.0      iterators_1.0.8   htmltools_0.3.6  
[16] yaml_2.1.14       rprojroot_1.2     digest_0.6.12    
[19] codetools_0.2-15  evaluate_0.10.1   rmarkdown_1.6    
[22] stringi_1.1.5     compiler_3.4.2    backports_1.1.1  
[25] truncnorm_1.0-7  
This R Markdown site was created with workflowr