Last updated: 2017-12-21
Code version: 6e42447
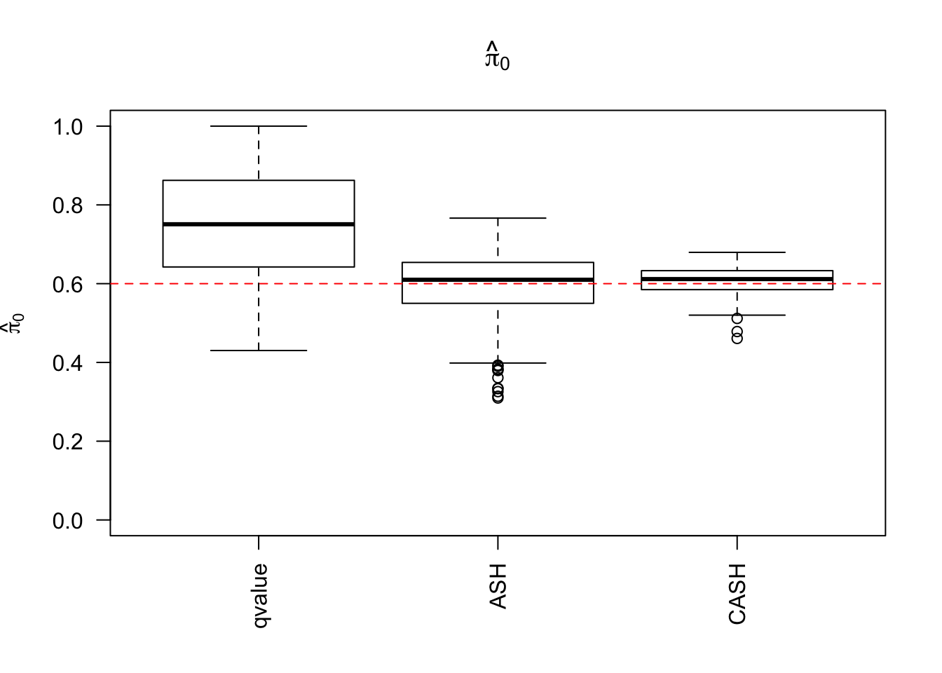
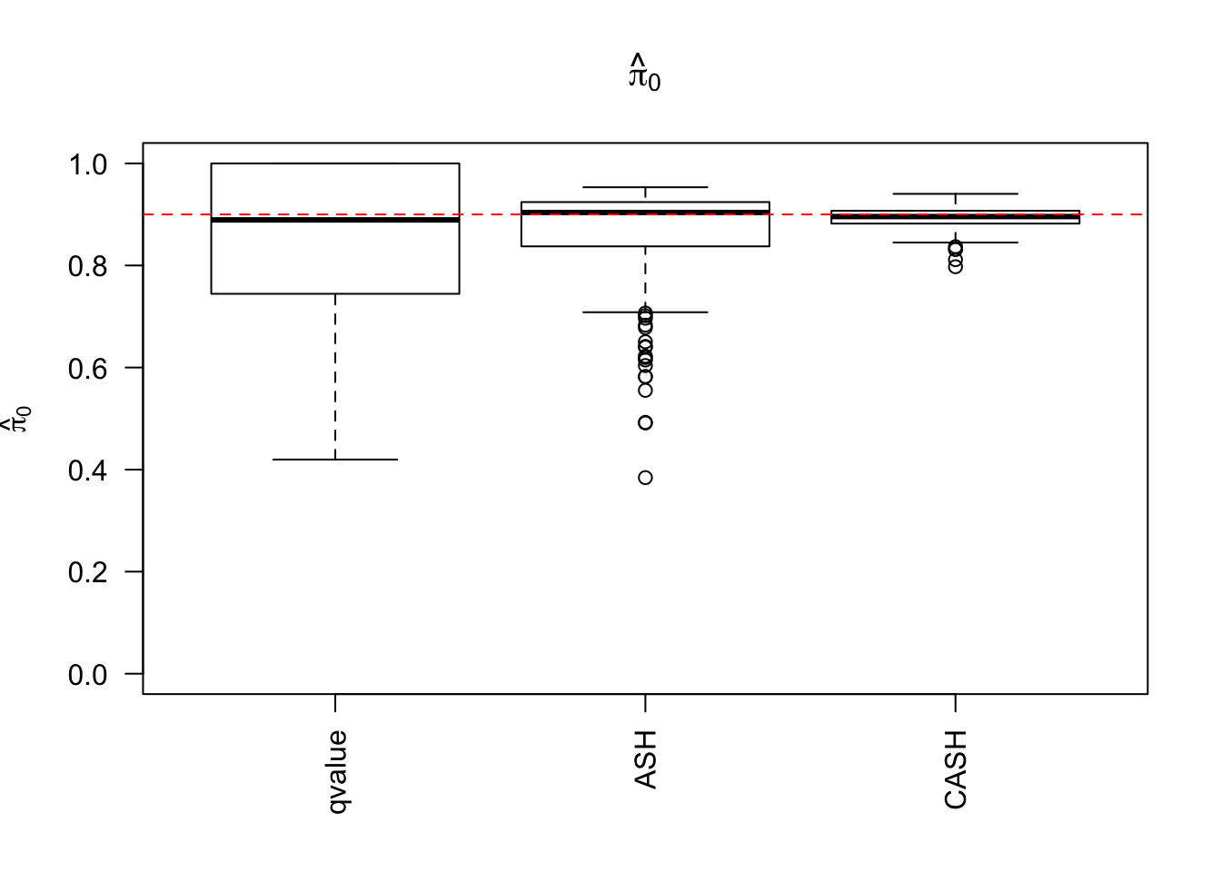
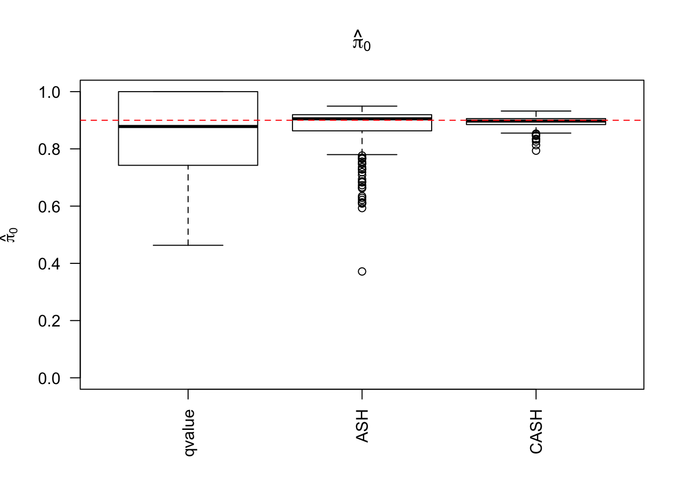
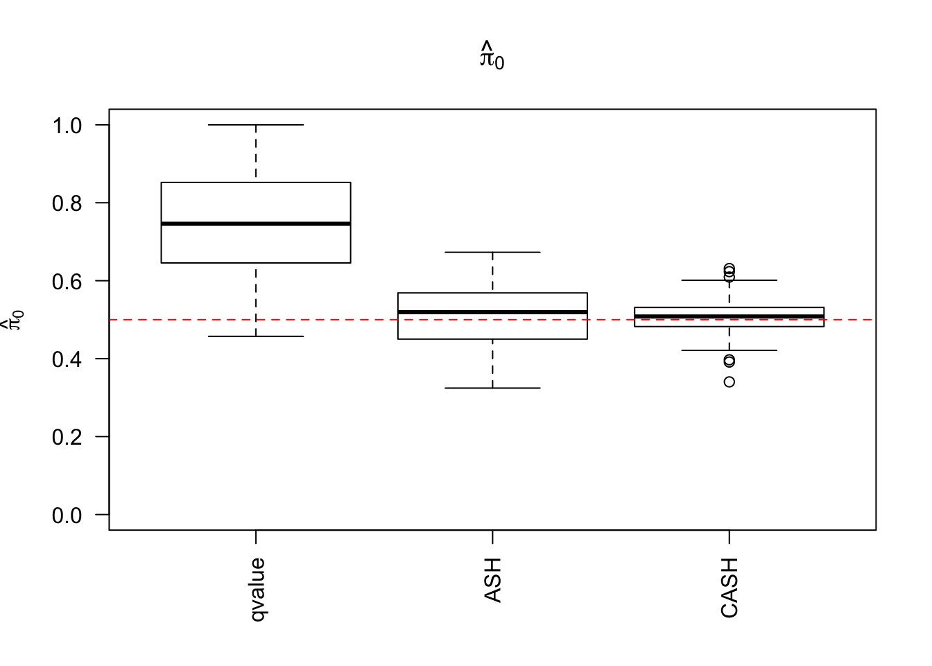
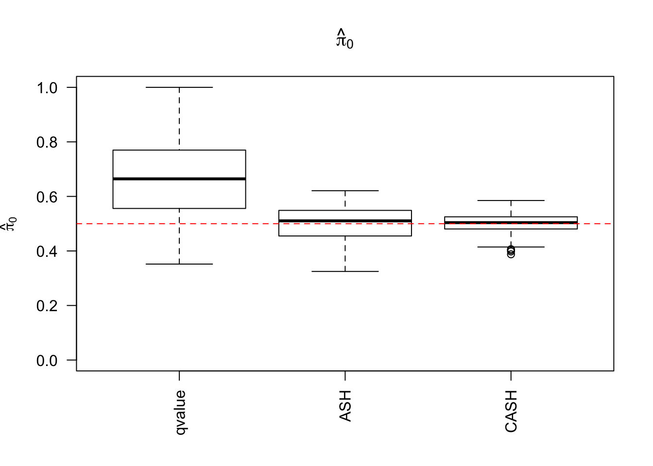
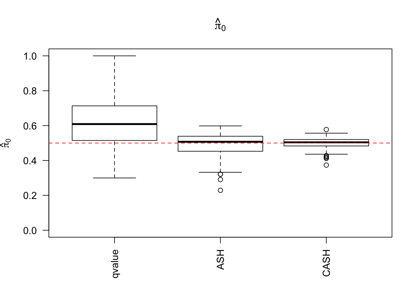
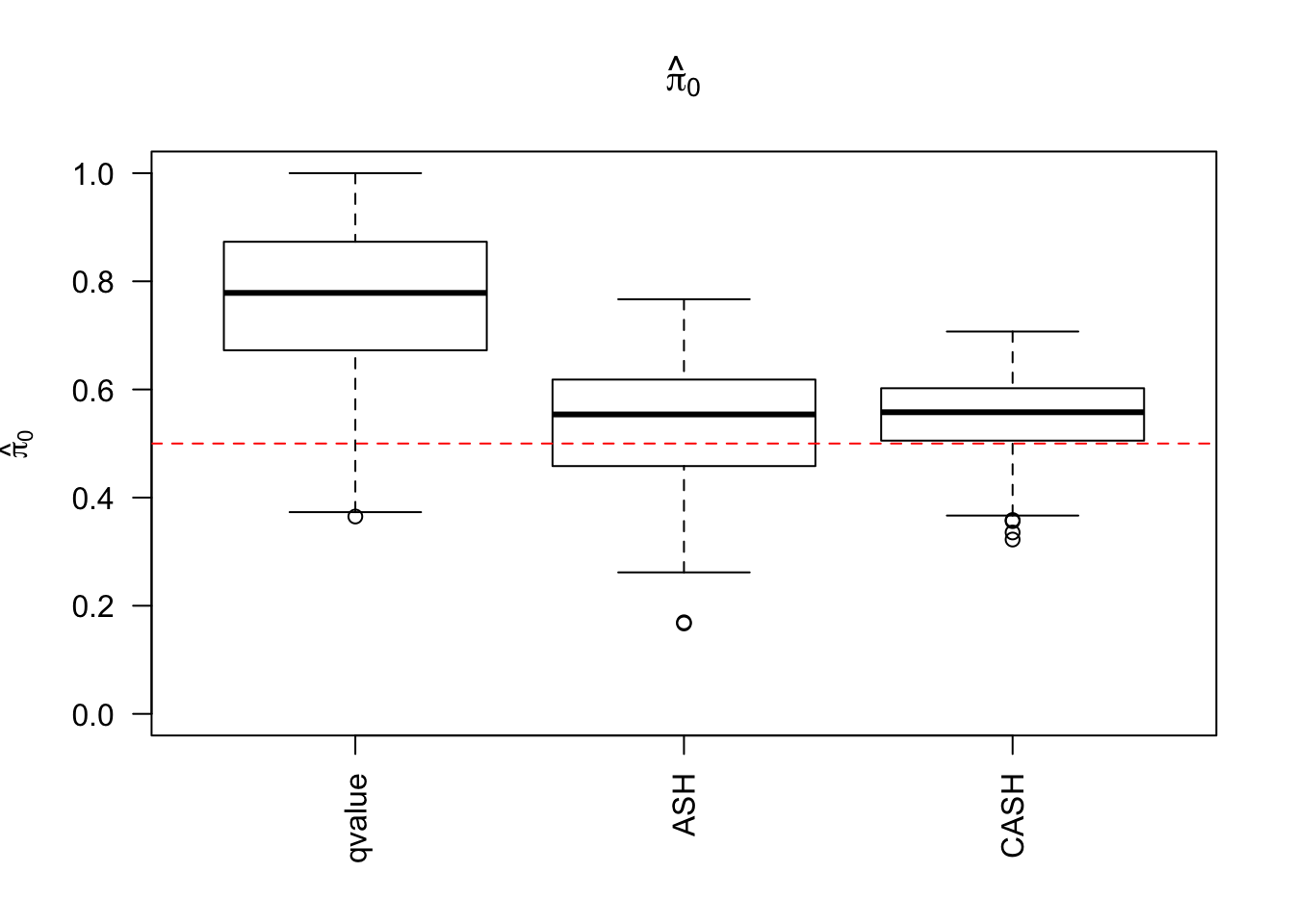
After extensive exploratory simulations, it seems completely simulated data give cleaner results than simulated real data, which is expected.
source("../code/gdash_lik.R")
set.seed(777)
z.mat <- se.mat <- matrix(0, ncol = 1e4, nrow = 1e3)
for (i in 1 : nrow(z.mat)) {
L <- matrix(rnorm(1e4 * 10), ncol = 10)
z.mat[i, ] <- L %*% rnorm(10) / sqrt(rowSums(L^2))
se.mat[i, ] <- sqrt(rchisq(1e4, 1))
}
cashSim(z.mat, se.mat,
nsim = 200, ngene = 1000,
g.pi = c(0.5, 0.3, 0.2), g.sd = c(0, 1, 2), relative_to_noise = FALSE)


cashSim(z.mat, se.mat,
nsim = 200, ngene = 1000,
g.pi = c(0.5, 0.4, 0.1), g.sd = c(0, 1, 2), relative_to_noise = FALSE)


cashSim(z.mat, se.mat,
nsim = 200, ngene = 1000,
g.pi = c(0.6, 0.3, 0.1), g.sd = c(0, 1, 2), relative_to_noise = FALSE)


cashSim(z.mat, se.mat,
nsim = 200, ngene = 1000,
g.pi = c(0.9, 0.1), g.sd = c(0, 1), relative_to_noise = FALSE)


cashSim(z.mat, se.mat,
nsim = 200, ngene = 1000,
g.pi = c(0.9, 0.1), g.sd = c(0, 2), relative_to_noise = FALSE)


cashSim(z.mat, se.mat,
nsim = 200, ngene = 1000,
g.pi = c(0.9, 0.1), g.sd = c(0, 3), relative_to_noise = FALSE)


cashSim(z.mat, se.mat,
nsim = 200, ngene = 1000,
g.pi = c(0.9, 0.05, 0.05), g.sd = c(0, 1, 2), relative_to_noise = FALSE)


cashSim(z.mat, se.mat,
nsim = 200, ngene = 1000,
g.pi = c(0.9, 0.05, 0.05), g.sd = c(0, 1, 3), relative_to_noise = FALSE)


cashSim(z.mat, se.mat,
nsim = 200, ngene = 1000,
g.pi = c(0.5, 0.5), g.sd = c(0, 1), relative_to_noise = FALSE)


cashSim(z.mat, se.mat,
nsim = 200, ngene = 1000,
g.pi = c(0.5, 0.5), g.sd = c(0, 2), relative_to_noise = FALSE)


cashSim(z.mat, se.mat,
nsim = 200, ngene = 1000,
g.pi = c(0.5, 0.5), g.sd = c(0, 3), relative_to_noise = FALSE)
Warning in REBayes::KWDual(A, rep(1, k), normalize(w), control = control): estimated mixing distribution has some negative values:
consider reducing rtol
Warning in REBayes::KWDual(A, rep(1, k), normalize(w), control = control): estimated mixing distribution has some negative values:
consider reducing rtol
Warning in REBayes::KWDual(A, rep(1, k), normalize(w), control = control): estimated mixing distribution has some negative values:
consider reducing rtol
Warning in REBayes::KWDual(A, rep(1, k), normalize(w), control = control): estimated mixing distribution has some negative values:
consider reducing rtol
Warning in REBayes::KWDual(A, rep(1, k), normalize(w), control = control): estimated mixing distribution has some negative values:
consider reducing rtol
Warning in REBayes::KWDual(A, rep(1, k), normalize(w), control = control): estimated mixing distribution has some negative values:
consider reducing rtol
Warning in REBayes::KWDual(A, rep(1, k), normalize(w), control = control): estimated mixing distribution has some negative values:
consider reducing rtol
Warning in REBayes::KWDual(A, rep(1, k), normalize(w), control = control): estimated mixing distribution has some negative values:
consider reducing rtol


z.real <- readRDS("../output/z_null_liver_777.rds")
se.real <- readRDS("../output/sebetahat_null_liver_777.rds")
cashSim(z.real, se.real,
nsim = 200, ngene = 1000,
g.pi = c(0.5, 0.5), g.sd = c(0, 1), relative_to_noise = TRUE)


cashSim(z.real, se.real,
nsim = 200, ngene = 1000,
g.pi = c(0.9, 0.1), g.sd = c(0, 1), relative_to_noise = TRUE)


cashSim(z.real, se.real,
nsim = 200, ngene = 1000,
g.pi = c(0.9, 0.1), g.sd = c(0, 2), relative_to_noise = TRUE)


sessionInfo()
R version 3.4.3 (2017-11-30)
Platform: x86_64-apple-darwin15.6.0 (64-bit)
Running under: macOS High Sierra 10.13.2
Matrix products: default
BLAS: /Library/Frameworks/R.framework/Versions/3.4/Resources/lib/libRblas.0.dylib
LAPACK: /Library/Frameworks/R.framework/Versions/3.4/Resources/lib/libRlapack.dylib
locale:
[1] en_US.UTF-8/en_US.UTF-8/en_US.UTF-8/C/en_US.UTF-8/en_US.UTF-8
attached base packages:
[1] stats graphics grDevices utils datasets methods base
other attached packages:
[1] ashr_2.2-2 Rmosek_8.0.69 PolynomF_1.0-1 CVXR_0.94-4
[5] REBayes_1.2 Matrix_1.2-12 SQUAREM_2017.10-1 EQL_1.0-0
[9] ttutils_1.0-1
loaded via a namespace (and not attached):
[1] gmp_0.5-13.1 Rcpp_0.12.14 compiler_3.4.3
[4] git2r_0.20.0 R.methodsS3_1.7.1 R.utils_2.6.0
[7] iterators_1.0.9 tools_3.4.3 digest_0.6.13
[10] bit_1.1-12 evaluate_0.10.1 lattice_0.20-35
[13] foreach_1.4.4 yaml_2.1.16 parallel_3.4.3
[16] Rmpfr_0.6-1 ECOSolveR_0.3-2 stringr_1.2.0
[19] knitr_1.17 rprojroot_1.3-1 bit64_0.9-7
[22] grid_3.4.3 R6_2.2.2 rmarkdown_1.8
[25] magrittr_1.5 MASS_7.3-47 backports_1.1.2
[28] codetools_0.2-15 htmltools_0.3.6 scs_1.1-1
[31] stringi_1.1.6 doParallel_1.0.11 pscl_1.5.2
[34] truncnorm_1.0-7 R.oo_1.21.0
This R Markdown site was created with workflowr