Last updated: 2017-12-21
Code version: 6e42447
Instead of doing a simulation with \(1K\) runs, each run with \(10K\) samples, we are downsizing it so that simulations can be done faster while still show a pattern. Right now, \(100\) runs, each run with \(5K\) samples seem adequate.
We don’t want the sample size to be too small. Small sample sizes appear to work less well with Gaussian derivatives fitting.
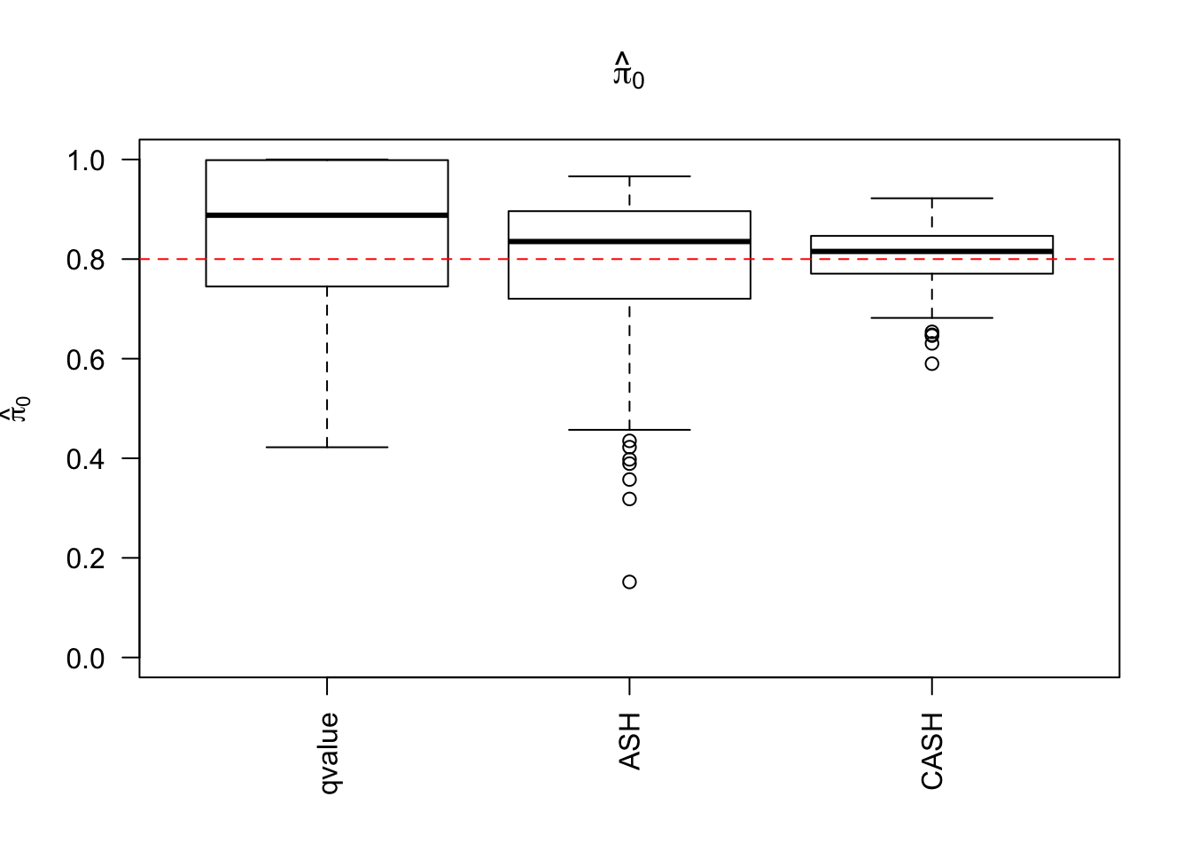
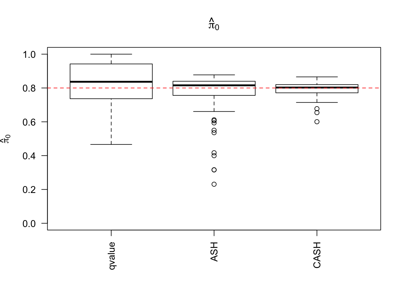
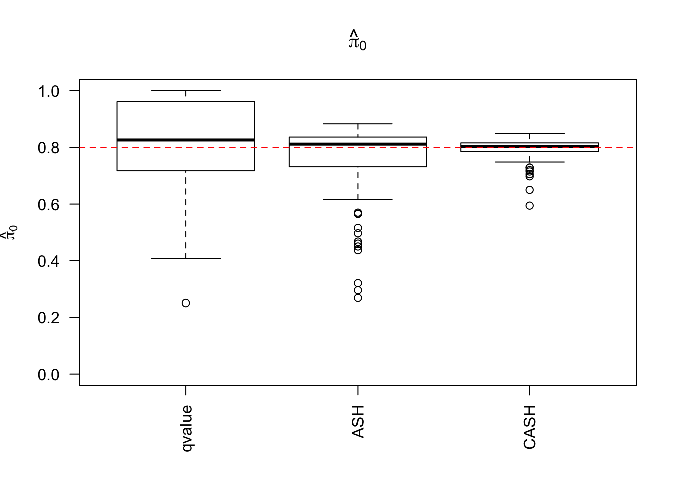
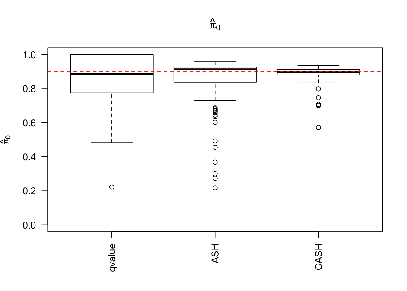
We are experimenting with different effect size distributions, and see how the average pFDP look with all data sets across all nominal \(q\) value levels.
source("../code/gdash_lik.R")
z.mat = readRDS("../output/z_null_liver_777.rds")
se.mat = readRDS("../output/sebetahat_null_liver_777.rds")
cashSim(z.mat, se.mat,
nsim = 100, ngene = 1000,
g.pi = c(0.8, 0.2), g.sd = c(0, 1), relative_to_noise = TRUE)


cashSim(z.mat, se.mat,
nsim = 100, ngene = 1000,
g.pi = c(0.8, 0.2), g.sd = c(0, 2), relative_to_noise = TRUE)


cashSim(z.mat, se.mat,
nsim = 100, ngene = 1000,
g.pi = c(0.8, 0.2), g.sd = c(0, 1), relative_to_noise = FALSE)


cashSim(z.mat, se.mat,
nsim = 100, ngene = 1000,
g.pi = c(0.8, 0.1, 0.1), g.sd = c(0, 1, 2), relative_to_noise = TRUE)


cashSim(z.mat, se.mat,
nsim = 100, ngene = 1000,
g.pi = c(0.8, 0.1, 0.1), g.sd = c(0, 1, 2), relative_to_noise = FALSE)


cashSim(z.mat, se.mat,
nsim = 100, ngene = 1000,
g.pi = c(0.9, 0.1), g.sd = c(0, 1), relative_to_noise = TRUE)


cashSim(z.mat, se.mat,
nsim = 100, ngene = 1000,
g.pi = c(0.9, 0.1), g.sd = c(0, 2), relative_to_noise = TRUE)


cashSim(z.mat, se.mat,
nsim = 100, ngene = 1000,
g.pi = c(0.9, 0.1), g.sd = c(0, 1), relative_to_noise = FALSE)


cashSim(z.mat, se.mat,
nsim = 100, ngene = 1000,
g.pi = c(0.9, 0.05, 0.05), g.sd = c(0, 1, 2), relative_to_noise = TRUE)


cashSim(z.mat, se.mat,
nsim = 100, ngene = 1000,
g.pi = c(0.9, 0.05, 0.05), g.sd = c(0, 1, 2), relative_to_noise = FALSE)


cashSim(z.mat, se.mat,
nsim = 100, ngene = 1000,
g.pi = c(0.85, 0.10, 0.05), g.sd = c(0, 1, 2), relative_to_noise = TRUE)


cashSim(z.mat, se.mat,
nsim = 100, ngene = 1000,
g.pi = c(0.85, 0.10, 0.05), g.sd = c(0, 1, 2), relative_to_noise = FALSE)


sessionInfo()
R version 3.4.3 (2017-11-30)
Platform: x86_64-apple-darwin15.6.0 (64-bit)
Running under: macOS High Sierra 10.13.2
Matrix products: default
BLAS: /Library/Frameworks/R.framework/Versions/3.4/Resources/lib/libRblas.0.dylib
LAPACK: /Library/Frameworks/R.framework/Versions/3.4/Resources/lib/libRlapack.dylib
locale:
[1] en_US.UTF-8/en_US.UTF-8/en_US.UTF-8/C/en_US.UTF-8/en_US.UTF-8
attached base packages:
[1] stats graphics grDevices utils datasets methods base
other attached packages:
[1] ashr_2.2-2 Rmosek_8.0.69 PolynomF_1.0-1 CVXR_0.94-4
[5] REBayes_1.2 Matrix_1.2-12 SQUAREM_2017.10-1 EQL_1.0-0
[9] ttutils_1.0-1
loaded via a namespace (and not attached):
[1] gmp_0.5-13.1 Rcpp_0.12.14 compiler_3.4.3
[4] git2r_0.20.0 R.methodsS3_1.7.1 R.utils_2.6.0
[7] iterators_1.0.9 tools_3.4.3 digest_0.6.13
[10] bit_1.1-12 evaluate_0.10.1 lattice_0.20-35
[13] foreach_1.4.4 yaml_2.1.16 parallel_3.4.3
[16] Rmpfr_0.6-1 ECOSolveR_0.3-2 stringr_1.2.0
[19] knitr_1.17 rprojroot_1.3-1 bit64_0.9-7
[22] grid_3.4.3 R6_2.2.2 rmarkdown_1.8
[25] magrittr_1.5 MASS_7.3-47 backports_1.1.2
[28] codetools_0.2-15 htmltools_0.3.6 scs_1.1-1
[31] stringi_1.1.6 doParallel_1.0.11 pscl_1.5.2
[34] truncnorm_1.0-7 R.oo_1.21.0
This R Markdown site was created with workflowr